Review Article
Creative Commons, CC-BY
Mathematical and Computer (In Silico) Models of Ischemic Stroke
*Corresponding author: Valentin V Fursov, N.I. Pirogov Russian National Research Medical University, 1/6 Ostrovitianova St, Moscow, Russia.
Received: December 12, 2025; Published: December 18, 2025
DOI: 10.34297/AJBSR.2025.29.003821
Abstract
Relevance: Diseases of the circulatory system, in particular ischemic stroke, remain the leading cause of death and disability in the world. The high vulnerability of nervous tissue to ischemia and the limitations of in vivo research methods necessitate the development of alternative approaches, among which the most promising is computer (in silico) modeling.
Purpose of the review: To analyze modern mathematical and computer models used to study the pathogenesis of ischemic stroke and evaluate their contribution to the understanding of this pathological process.
Materials and methods: The review systematizes and analyzes key approaches to modeling ischemic stroke: from early homogeneous models (Model Duval V, et al. [1]), phenomenological models focusing on key pathophysiological mechanisms (Model Chapuisat G, et al .[2], Model Voropaeva O.F. [3] ), to complex spatial models of neuroinflammation Model Di Russo C, et al. [4]) and modern stochastic models based on cellular automata and neurovascular units (CA-NVE Stroke Model).
Results: The evolution of ischemic stroke models is shown to be moving towards increasing complexity, incorporating spatial dynamics and key biological concepts such as the neurovascular unit. Modern models make it possible not only to qualitatively describe the process, but also to achieve quantitative agreement with experimental data.
Conclusion: Mathematical and computer modeling have become an indispensable tool in the study of ischemic stroke, allowing the integration of disparate experimental data, testing hypotheses about pathogenesis, and opening new avenues for the development of effective methods of neuroprotection.
Keywords: Ischemic stroke, Mathematical modeling, Computer modeling, In silico, Neurovascular unit, Cellular automata, Monte carlo method, Neuroinflammation
Introduction
Diseases of the Circulatory System (CDS) remain the leading cause of mortality and disability worldwide [5]. This category includes cerebrovascular diseases, which are a group of brain pathologies that are caused by damage to the cerebral and/or precerebral arteries, their embolism, as well as sudden changes in blood pressure leading to cerebrovascular disorders [5]. Myocardial infarction and cerebral infarction (stroke) are among the most lifethreatening pathologies. They are the leading causes of mortality and are accompanied by large-scale cell death in vital organs [6]. It is predicted that between 2021 and 2050, the global incidence of stroke could increase by 81% and its prevalence by 71% [5]. A key role in the development of a heart attack is played by ischemic cell damage, which occurs due to nutritional deficiency against the background of local disruption of the blood supply. The likelihood of a heart attack and the extent of tissue damage are determined mainly by the severity and duration of the decrease in blood flow, as well as a number of other factors. The heart and structures of the central nervous system are most sensitive to ischemia [6]. Such a high level of vulnerability of the heart and central nervous system to ischemia [6] determines enormous scientific and medical interest in the comprehensive study and modeling of the nervous system of humans and animals. This implies the study of both its structure and electrochemical activity, especially at the cellular and molecular levels [7]. However, conducting in vivo experiments poses significant challenges. These limitations are caused by the high reactivity of nervous tissue and its biochemical components, as well as their low viability outside the natural environment [8]. Due to the increasing prevalence of cerebrovascular diseases, the high vulnerability of nervous tissue to ischemia [6] and serious limitations of traditional experimental methods [8], there is a persistent need for the development of alternative approaches. The most promising of them is computer (in silico) modeling [9]. This paper provides an overview of some mathematical and computer models used to study the pathogenesis of ischemic stroke.
Mathematical and Computer Models of Ischemic Stroke.
Model Duval V. et al. [1]
The Duval model, introduced in 2002, is one of the first among computer and mathematical models. Its structure is based on an x × y matrix, where each element represents an elementary region of a slice of brain tissue (Figure 1). Despite the two-dimensional representation, each such cell is modeled as a volumetric object. It is assumed that within one cell all processes are homogeneous, which simplifies the modeling of the development of ischemic stroke. The flexibility of the model allows you to adapt the number and size of cells in accordance with the goals of a particular study. The state of each cell is described by six key parameters: the number of feeding vessels, blood flow in each of them, total effective blood flow, CMRo2, ADCw and survival delay [1] (Figure 1).
The figure shows the matrix structure of the model, consisting of 7 × 7 blocks. Each block has its own parameters: CBFu - cerebral blood flow (ml 100 g−1 min−1) for the model block; CBFi is cerebral blood flow (ml 100 g−1 min−1) for vessel i; and survival delay—the estimated delay for a block after which it is considered ischemic. The block can be supplied with blood from 1, 2 or 3 vessels [1].
Model Chapuisat G. et al. [2]
This paper presents a phenomenological model of ischemic stroke, built on a number of fundamental pathophysiological principles [2]:
i. An ischemic stroke is caused by a sudden decrease in blood flow to part of the brain.
ii. In response, the oxygen recovery rate increases to compensate for the lack of oxygen.
iii. If the available energy is insufficient, then cell homeostasis cannot be maintained. Consequently, the potassium concentration in the extracellular space increases.
iv. Potassium diffuses into the extracellular space.
v. An increase in extracellular potassium concentration promotes cell depolarization and, in particular, opens voltage-gated calcium channels through which calcium enters neurons and astrocytes.
vi. Excess calcium spreads between astrocytes through gap junctions.
vii. Finally, increased calcium concentrations in neurons promote the opening of certain channels, such as calcium-gated potassium channels, through which more potassium leaves the cells.
viii. Recovering from a wave of depression requires energy. Both neurons and astrocytes will store energy to recover from the ionic disturbances caused by the wave of depression.
ix. The only damage to cells is an increase in the level of calcium ions in them.
x. If a cell is severely damaged but has enough energy, it will die by apoptosis. If it does not have enough energy, it will die as a result of necrosis.
The model operates at the level of the whole brain, but for the sake of computational efficiency, calculations are carried out for a two-dimensional section of cortical tissue, and in some cases - in a one-dimensional approximation. It is assumed that the qualitative behavior of the model is invariant to the dimension of space. The model focuses exclusively on processes in gray matter, excluding white matter [2]. Structurally, the tissue is represented by three homogeneous, spatially continuous compartments: extracellular space, neurons and astrocytes. The main dynamic variables of the model are:
a. Extracellular potassium concentration ((|K+|e))
b. Intracellular calcium concentration in astrocytes (|Ca2+|a)
c. Intracellular calcium concentration in neurons (|Ca2+|n)
All variables are functions of time t and spatial coordinates x, that is, for example, |Ca2+|n(t, x) denotes the calcium concentration in neurons near point x at time t. The authors were able to successfully integrate spreading depression into the stroke model as a key mechanism responsible for the growth of the affected area [10,11], which is clearly demonstrated in (Figure 2 and Figure 3). It is important to note that the model is primarily qualitative in nature due to a significant level of aggregation of variables and processes, which allows the reproduction of general patterns, but limits its direct quantitative correspondence to data from biological experiments (Figure 2, Figure 3).
Cells that died as a result of necrosis are marked in black. Gray – in the process of apoptosis. White – healthy cells. Along the axes – coordinates in model space. In addition, in the model, the authors were able to link together the factors of decreased blood perfusion of the model cells, the wave of depression and membrane ion flows.
Model Di Russo C. et al. [4]
This mathematical model, like some other models, describes the dynamics of the inflammatory process developing in the brain during ischemic stroke [4]. The model is based on the following pathophysiological cascade: initial cell death due to ischemia triggers a complex chain of inflammatory reactions. The key participants in this process, presented in the model, are:
Brain tissue cells: healthy, as well as those undergoing necrosis and apoptosis;
Immune cells: microglia (local immune cells of the brain), macrophages and neutrophils (white blood cells that come from the blood);
Chemical mediators: cytokines, chemokines and adhesion molecules that coordinate the migration and activation of immune cells [4]. The model focuses on the key contradiction of the inflammatory response: on the one hand, it is necessary to remove dead cells and prepare for repair of damage, but on the other hand, it is accompanied by the release of toxic substances that worsen the damage to still viable neurons. Thus, the goal of the model is to quantify this dynamic balance between the protective and destructive roles of neuroinflammation (Figure 4).
As a result, a closed system of 13 equations was obtained. To model fixed cell types, there are 7 ordinary differential equations:(Figure 5).
And also 4 reaction-diffusion equations to describe motile types of cells:(Figure 6, Figure 7, Figure 8).
Unlike many previous models, this one takes into account the distribution of processes in space (diffusion of chemicals and chemotaxis - the movement of cells along a concentration gradient). This allows you to see how the infarction and inflammation spread into the brain tissue. The model integrates many key players in inflammation (multiple cell types and chemicals) and their interactions into a single system of equations. The model is designed to conduct “in silico” experiments, allowing the effects of various parameters (e.g., cytokine production rates) to be studied, hypothetical treatments tested before expensive laboratory and clinical trials.
The harm from inflammation has been shown to be disproportionate to the size of the infarct, which may help guide treatment decisions. The authors conducted a thorough analysis to determine how sensitive the model’s results are to parameter changes. This shows how reliable the model’s predictions are and which parameters are most critical for controlling the system.
Model Voropaeva O. F. et al. [3]
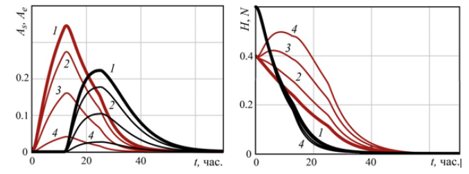
This study is aimed at developing a mathematical model of the inflammatory stage of ischemic stroke in the core of the injury. The conceptual framework used is the approach of Russo et al., which provides a qualitative description of the process. The key advantage of this model is the representation of the damage mechanism as a whole through the introduction of universal functions that describe intoxication by decay products and inflammation, as well as the process of phagocytosis [3]. The goal of this work is to move from a qualitative description to a quantitative model of brain cell death that can reproduce known experimental data. For this purpose, the original model was modified and parameterized (Figure 9).
(Figure 9) shows the change in the dynamics of the density of cells that began As (red) and completed Ae (black lines) apoptosis, survived H (black) and died through necrosis N (red lines) of brain cells depending on the parameter pN = {0.1, 0.3, 0.6, 0.9} (lines 1–4, respectively) [12]. Comparison of modeling results with data from laboratory tests on cell cultures demonstrated not only qualitative, but also quantitative agreement [13]. On this basis, it was concluded that the developed mathematical model is adequate to describe the dynamics of cell death in the focus of ischemic damage.
CA-NVE Stroke Model Fursov V. et al. [14-18]
This model is a discrete stochastic model of the development of ischemic stroke based on the concept of a cellular automaton and the Monte Carlo method [14-18]. The basic idea is that the minimal unit to be modeled is not a single cell or molecule, but a Neurovascular Unit (NVE). This is a functional unit of the brain, including microvessels (capillaries, pericytes) and surrounding nerve cells (neurons, astrocytes). It is the defeat of the NVE that is considered the key event in stroke. In this model, the brain is represented as a two-dimensional lattice (mesh), where each cell is one NVE. Each NVE can be in one of four states:
Health (H): Normal functioning.
Ischemia (I): Blood supply is impaired, but the condition is reversible. Death (D): Irreversible death of the unit (necrosis or apoptosis).
PAS accumulation (F): A condition where a pharmacologically active substance is present in a unit.
Transitions between states (for example, Health → Ischemia or Ischemia → Death) occur according to stochastic (probabilistic) rules, which are specified by rate constants. These transitions can depend on the state of neighboring NVEs, which makes it possible to simulate the propagation of damage in space. The evolution of the system over time is calculated using the Monte Carlo algorithm. (Figures 10, 11) show visualization of the spread of the stroke focus:(Figure 10, 11).
The use of a neurovascular unit as an elementary unit is a major advantage. This allows us to abstract from the excessive complexity of modeling individual cells, but at the same time adequately reflect the pathophysiology, since stroke is a vascular event that immediately affects the entire functional unit. This model also takes into account spatial dynamics. It clearly shows how a small focus of ischemia forms an infarct zone and the surrounding penumbra (the zone of “stunned” but still viable cells), which is critical for understanding the “therapeutic window.” The model was purposefully developed as simple for numerical implementation and containing relatively few parameters. This makes it less cumbersome than PDE-based models while still maintaining key functionality. The use of the Monte Carlo method allows one to take into account the random nature of biological processes. This provides a more realistic picture of stroke progression, which may vary from run to run, as opposed to deterministic models. The authors empirically selected the rate constants so that the model reproduces the known time frame for the development of infarction (for example, 50% of the volume in 90 minutes, 80% in 6 hours), which confirms its adequacy.
Conclusion
The analysis of modern mathematical and computer models of ischemic stroke allows us to draw the following general conclusions:
Mathematical modeling has become an integral tool in the study of cerebral ischemia, allowing the investigation of pathogenetic mechanisms that are difficult or impossible to study through traditional biological experiments. There is a consistent evolution of approaches - from simple phenomenological models to complex multicomponent systems capable of taking into account the spatiotemporal dynamics of the pathological process and the stochastic nature of biological phenomena. Modern models demonstrate a transition from qualitative description to quantitative prediction, which opens up opportunities for their practical use in medicine in the future. A promising direction is the development of integrated models that combine data on cerebral hemodynamics, cellular metabolism, neuroinflammation and reparative processes, which in the future may contribute to the creation of personalized approaches to the treatment of ischemic stroke. Thus, computer modeling is a powerful approach that makes a significant contribution to understanding the pathogenesis of ischemic stroke and the search for new ways to effectively treat this socially significant disease.
Funding
Work was supported by grant of Ministry of Science and Higher Education of Russian Federation № 075-15-2020-792 (Unique identifier RF----190220X0031).
Acknowledgments
Prof. Dr. Eleonora M. Koltsova, Prof. Dr. Dmitry A. Kuznetsov, Dr. Ivan I. Mitrichev, PhD students Aleksandr V. Ananyev and Daria I. Zinchenko, student Ksenia A. Popova (Moscow, Russian Federation) are to be sincerely thanked for their kind assistance with preparation of the manuscript, consultations, and for their encouraging comments on this work.
Conflicts of interest
No conflicts of interests of any sort beyond.
References
- Duval V, Chabaud S, Girard P, Cucherat M, Hommel M, et al. (2002) Physiologically based model of acute ischemic stroke. Journal of Cerebral Blood Flow & Metabolism 22(8): 1010-1018.
- Chapuisat G, MA Dronne, E Grenier, M Hommel, H Gilquin, et al. (2008) A global phenomenological model of ischemic stroke with stress on spreading depressions. Progress in Biophysics and Molecular Biology 97(1): 4-27.
- Voropaeva OF, Plotnikov ND, Tsgoev ChA (2016) Numerical modeling of cell death due to ischemia. In Current Problems of Applied Mathematics, Computer Science and Mechanics: Collection of Proceedings of the International Scientific and Technical Conference. Voronezh: Scientific Research Publications: 221-223.
- Di Russo C (2010) A mathematical model of inflammation during ischemic stroke. ESAIM: Proceedings 30: 15-33.
- Nikolaev VA, Nikolaev AA (2025) Stroke: statistics and dynamics of diseaseability in Russia. Healthcare Manager (6): 133-141.
- Aliev RR (2020) Fundamentals of mathematical modeling of ischemic stroke. Bulletin of medical internet conferences 10(1): 20.
- Bartsev SI, Bartseva OD (2010) Heuristic neural network models in biophysics: application to the problem of structural-functional correspondence. Siberian Federal University.
- Shabelnikov VA (2019) Review of the elemental base of neuronal microelectronic probes for implantation into the cerebral cortex. Bulletin of Science and Education 23(77): 96-107.
- Kravchenko SV, Kade AKh, Trofimenko AI, SP Vcherashnyuk (2021) Cognitive neuroprosthetics - the path from experiment to clinical application. Innovative Medicine of Kuban 3(23): 64-72.
- Soldozy S, Khadijeh A Sharifi, Bhargav Desai, Daniel Giraldo, Michelle Yeghyayan, et al. (2020) Cortical spreading depression in the setting of traumatic brain injury. World Neurosurgery 134: 50-57.
- Obeidat AS, CR Jarvis, RD Andrew (2000) Glutamate does not mediate acute neuronal damage after spreading depression induced by O2 glucose deprivation in the hippocampal slice. Journal of Cerebral Blood Flow & Metabolism 20(2): 412-422.
- Voropaeva OF, Ivanov ND (2020) Mathematical modeling of the acute phase of ischemic stroke. In Current Problems of Applied Mathematics, Computer Science and Mechanics: Collection of Proceedings of the International Scientific Conference. Voronezh State University. Voronezh: Scientific Research Publications. 717-725.
- Lu YZ, Chi Hsin Lin, Fu Chou Cheng, Chi Mei Hsueh (2005) Molecular mechanisms responsible for microglia–derived protection of Sprague–Dawley rat brain cells during in vitro ischemia. Neuroscience Letters 373(2): 159–164.
- Fursov VV, Ananyev AV, Bukhvostov AA (2023) Monte Carlo method as a basis for in silico modeling in the study of the pathogenesis of ischemic stroke. Translational Medicine 10(5): 389-401.
- Ananyev AV, Zinchenko DI, Fursov VV (2022) Using distributed computing in Monte Carlo simulation of ischemic stroke. Advances in Chemistry and Chemical Technology 36(11): 11-13.
- Fursov VV, Ananyev AV, Ananyev VN (2022) A computer-based mathematical model of pathophysiological changes in a section of brain tissue during the development of a stroke. Natural and Technical Sciences 5(168): 263-265.
- Fursov VV, Ananiev AV, Kuznetsov DA (2023) Towards a systemic concept of brain ischemia stroke: Monte Carlo driven in silico model. CNS & Neurological Disorders Drug Targets 23(10): 1275-1284.
- Ananyev AV, Fursov VV, Zinchenko DI (2023) Certificate of state registration of a computer program 2023611783 Russian Federation. Module for creating a model of the evolution of the state of a brain tissue area during a stroke: 2022684075: filed 06.12.2022: published 24.01.2023. Federal State Budgetary Educational Institution of Higher Education "D.I. Mendeleev Russian University of Chemical Technology”. EDN QVRAGO.











We use cookies to ensure you get the best experience on our website.