Case Report
Creative Commons, CC-BY
Unlocking the Potential of Longitudinal Scalar Wave (LSW) A Non-Invasive Approach to Neurological Care and Autism Treatment
*Corresponding author: Bahman Zohuri, Adjunct Professor of Artificial Intelligence/Machine Learning, Golden Gate University, Ageno School of Business, San Francisco, California, USA 94105.
Received: January 3, 2025; Published: January 08, 2025
DOI: 10.34297/AJBSR.2025.25.003321
Abstract
The Longitudinal Scalar wave (LSW), a unique form of longitudinal energy waves, has garnered attention for their potential applications in biomedical science. This article explores the physics and mathematical foundations of longitudinal scalar waves and their implications in neurological care, particularly in treating Autism Spectrum Disorder (ASD). By focusing on their ability to restructure water molecules, enhance immune function, and influence natural biological processes, scalar waves offer a promising non-invasive therapeutic modality. This perspective emphasizes their role in reducing neuroinflammation, optimizing neural energy fields, and harmonizing brainwave activity to improve neurological outcomes.
Keywords: Longitudinal Scalar Wave, Autism Treatment, Neurological Care, Non-Invasive Therapy, Molecular Coherence, Neuroinflammation Reduction, Brainwave Synchronization, Immune Function, Enhancement, Bioenergetic Fields, Neurological Disorders Therapy
Introduction
Neurological disorders, including Autism Spectrum Disorder (ASD), represent complex challenges with multifactorial origins involving neuroinflammation, oxidative stress, and disrupted neural communication. Traditional treatments, though effective in many cases, often fail to address underlying bioenergetic and molecular imbalances. Scalar waves, an underexplored phenomenon in physics, provide a potential solution through their unique properties.
Unlike conventional electromagnetic waves, scalar waves are longitudinal, propagating in the same direction as their oscillations. These waves exhibit coherence over long distances and influence biological systems in profound ways. This article presents a comprehensive perspective on how scalar waves, supported by their physical and mathematical principles, could be applied to neurological care and autism treatment.
Comparison of Non-Invasive Approaches for Autism Spectrum Disorder (ASD) Treatment
Autism Spectrum Disorder (ASD) is a multifaceted condition requiring innovative approaches for treatment. Non-invasive techniques such as Transcranial Magnetic Stimulation (TMS), Transcranial Electrical Stimulation (TES), and the proposed Longitudinal Scalar Wave (LSW) therapy are emerging as potential interventions. While all three methods share the advantage of being non-invasive, they differ significantly in their mechanisms, efficacy, and scope of application.
Each of these non-invasive i.e., approaches, TMS, TES, and LSW waves are explained as follows and in this article, this author emphasis is on technique of LSW behind such non-invasive treatment of ADS and respect the other two technique, reader should refer to the refence published by this author mentioned here and other open literatures and technical textbooks [1-11].
Transcranial Magnetic Stimulation (TMS)
TMS uses magnetic fields to stimulate specific areas of the brain by inducing electric currents. It is primarily aimed at improving brain plasticity, enhancing connectivity, and modulating brainwave activity. TMS has shown promise in reducing repetitive behaviors, improving communication, and managing co-morbid symptoms like depression. However, TMS can cause mild discomfort and requires precise targeting of brain regions for effectiveness. Its effects are typically transient, requiring repeated sessions for sustained benefits.
Transcranial Electrical Stimulation (TES)
TES involves the application of low electrical currents to the scalp to modulate neuronal activity. It targets brain function through mechanisms like increasing cortical excitability and enhancing neuroplasticity. TES is more portable and cost-effective compared to TMS, and its safety profile is well-documented. It has demonstrated improvements in attention, sensory processing, and behavioral regulation in individuals with ASD. However, TES is limited by variability in outcomes and less precise targeting compared to TMS.
Longitudinal Scalar Wave (LSW) Therapy
LSW therapy, based on scalar wave physics, is a novel concept that influences bioenergetic fields, cellular hydration, and immune modulation. Unlike TMS and TES, LSW therapy restructures water molecules in the brain, improves mitochondrial efficiency, and reduces neuroinflammation. These properties could address core ASD symptoms, including sensory overload, emotional dysregulation, and neuroimmune imbalances. LSW therapy also holds potential for long-term, system-wide effects due to its ability to harmonize biological energy fields. While its theoretical basis is compelling, further clinical research is needed to validate its efficacy and refine its application [2-3].
In summary, by referring to Table 1, while TMS and TES are more established, LSW therapy offers a promising, holistic alternative that may address the multifaceted nature of ASD. Combining these approaches could further enhance therapeutic outcomes, creating a synergy of precision, accessibility, and systemic benefits.
Scalar Waves: Unlocking the Mysteries of Nature’s Hidden Forces
Scalar waves, also known as longitudinal waves or Tesla waves, are a fascinating and often mysterious phenomenon. Unlike electromagnetic waves, which oscillate perpendicularly to their direction of travel, scalar waves propagate longitudinally, similar to sound waves. Their unique properties have sparked interest in scientific, health, and environmental disciplines. Below, we explore some general properties of scalar waves, focusing on their beneficial aspects.
Travel Faster Than the Speed of Light
Scalar waves defy conventional understanding of physics, as they appear to move faster than the speed of light. This property challenges Einstein’s theory of relativity, which posits that the speed of light is the universal speed limit. The ability of scalar waves to exceed this limit suggests they may operate in higher dimensions or interact with the quantum field in ways not yet fully understood.
Practical implications of this property include their potential use in instantaneous communication technologies, quantum computing, and advanced signal transmission systems. Such applications could revolutionize industries by overcoming the latency limitations of electromagnetic communication.
Transcend Space and Time
Scalar waves seem to exist beyond the constraints of space and time. Unlike traditional waves that diminish with distance, scalar waves maintain their integrity over vast distances. This property is often described as “nonlocality,” a concept also observed in quantum entanglement.
This transcendence has significant implications for energy transfer, as scalar waves can theoretically deliver energy or information instantaneously across any distance. It may also contribute to the study of consciousness, as some theories suggest that scalar waves could be involved in the mechanisms of thought and awareness.
Coherent Reordering of Water’s Molecular Structure
Water is highly receptive to external influences, and scalar waves appear to have a unique ability to reorganize its molecular structure. When exposed to scalar waves, water molecules shift into a coherent, ordered state, enhancing their stability and bioavailability.
This phenomenon has profound implications for health and agriculture. Structured water is believed to improve hydration at the cellular level, enhance metabolic processes, and even detoxify harmful substances. In agriculture, it can promote healthier plant growth and increase crop yields.
Positive Effects on Immune Function in Mammals
Studies suggest that scalar waves can enhance the immune function of mammals by stimulating cellular repair and optimizing energetic balance in the body. This property is linked to their ability to harmonize biological frequencies and reduce oxidative stress.
Scalar wave therapy is increasingly being explored as a non-invasive health intervention. Devices emitting scalar waves are used for pain management, inflammation reduction, and overall immune system support. They may also improve sleep quality and mental clarity, further boosting well-being.
Positive Effects on Immune Function in Mammals
Nature appears to leverage scalar waves in its creative processes. Scalar energy fields are thought to play a role in the formation of crystals, the development of biological structures, and the self-organizing patterns observed in ecosystems.
These waves may facilitate the transfer of energy and information in natural systems, promoting harmony and resilience. Understanding how scalar waves operate in nature could unlock new methods for sustainable resource management, environmental restoration, and the design of bio-inspired technologies.
Scalar Waves: The Physics and Mathematical Formulation as a Non-Invasive Tool for Neurological Care and Autism Treatment
Scalar waves, also referred to as longitudinal waves or Tesla waves, are a fascinating topic at the intersection of physics, mathematics, and biomedical science. Their unique properties, such as their potential to influence biological systems, make them a promising candidate for non-invasive approaches to neurological care, including the treatment of Autism Spectrum Disorder (ASD). Below, we delve into the physics and mathematical foundation of scalar waves, exploring how they can be applied in neurological care.
Longitudinal Scalar Wave (LSW) is conceived as longitudinal waves, as are sound waves. Unlike the transversal waves of electromagnetism, which move up and down perpendicularly to the direction of propagation, longitudinal waves vibrate in line with the direction of propagation. Transversal waves can be, observed in water ripples: the ripples move up and down as the overall waves move outward, such that there are two actions; one moving up and down, and the other propagating in a specific direction outward.
Technically speaking, scalar waves have magnitude but no direction, since they are, imagined to be the result of two electromagnetic waves that are 180 degrees out of phase with one another, which leads to both signals being canceled out. This results in a kind of ‘pressure wave’.
Mathematical physicist James Clerk Maxwell, in his original mathematical equations concerning electromagnetism, established the theoretical existence of scalar waves. After his death, however, later physicists assumed these equations were meaningless, since scalar waves had not been empirically, observed and they were not repeatedly verified among the scientific community at large [12- 13].
Vibrational or subtle energetic research, however, has helped advance our understanding of scalar waves. One important discovery state that there are many different types of scalar waves, not just those of the electromagnetic variety. For example, there are vital scalar waves (corresponding with the vital or “Qi” body), emotional scalar waves, mental scalar waves, causal scalar waves, and so forth. In essence, as far as we are aware, all “subtle” energies are made up of various types of scalar waves.
Note that: Qi can be interpreted as the “life energy” or “life force,” which flows within us. Sometimes, it is known as the “vital energy” of the body. In Traditional Chinese Medicine (TCM) theory, qi is the vital substance constituting the human body. It also refers to the physiological functions of organs and meridians.
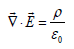
Physics of Scalar Waves
Scalar waves arise from the scalar potential in Maxwell’s equations, particularly when decomposed into their longitudinal and transverse components:
Here:
i.
is the divergence of the electric filed (
).
ii. ρ is the charge density
iii. ε0 is the permittivity of free space
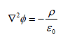
The scalar potential (φ ) satisfy the Poisson equation:
The scalar wave solutions are derived from time-dependent scalar potentials, often decoupled from the electromagnetic wave components [12-13].
Mathematical Formulation of Scalar Waves
Mathematical formulation driven scalar wave follows the following steps as:
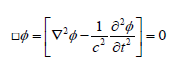
Wave Equation for Scalar Fields
Where:
i.
is the d’Alembert operator.
ii. φ represents the scalar potential.
iii. c is the speed of light in a vacuum.
iv. ∇2 is the Laplacian operator, describing spatial potential.
v.
is the second time derivative of the scalar potential.
Energy Density and Coherence
The energy density (u ) of scalar waves is related to the square of the scalar potential gradient:
This coherence is key in their interaction with biological systems, as it allows scalar waves to influence cellular and molecular dynamics in a synchronized manner.
Interaction with Biological Systems
This biological systems interaction is through following step as:
Influence on Molecular Water Structure
Scalar waves impact water molecules by reordering them into a coherent structure:
Dipole alignment: 
Where:
i.
is the dipole moment.
ii.
is the electric susceptibility.
iii.
is the scalar electric field induced by scalar waves.
This reorganization enhances hydration, cellular communication, and biochemical processes, which are crucial in neurological care [14].
In summary, the mathematical framework for neurological applications can be summarized as follows:
A. Wave Energy Coherence
Scalar waves maintain energy coherence, minimizing energy dissipation in biological tissues:
where is energy density and is thermal diffusivity. This ensures efficient energy delivery to neurons, supporting their function and repair [15].
B. Brainwave Modulation
The scalar wave’s influence f (t) on brainwave activity can be modeled as:
Here, scalar waves optimize the amplitude ( A ) and phase (φ ) of brainwaves, aligning them to healthier patterns.
Application to Neurological Care and Autism
The application in neurological care is driven by:
Autism Treatment
Scalar waves address several core issues in autism, including: i. Reducing neuroinflammation through oxidative stress modulation.
ii. Enhancing cellular hydration and energy efficiency.
iii. Synchronizing brainwaves to improve sensory processing, communication, and behavior.
Therapeutic Devices
Devices emitting scalar waves are being developed to deliver targeted, non-invasive therapy for:
i. Autism Spectrum Disorder.
ii. Neurodegenerative diseases such as Alzheimer’s and Parkinson’s.
iii. Brain injuries and stroke rehabilitation.
In summary, the mathematical and physical framework of scalar waves underpins their potential as a non-invasive tool for neurological care, particularly in treating autism. By influencing water’s molecular structure, reducing neuroinflammation, and synchronizing neural networks, scalar wave therapy aligns with cutting-edge bioenergetic principles. Ongoing research and clinical trials can refine this approach, unlocking new possibilities for enhancing neurological health through scalar wave science.
In other words, scalar waves offer a novel and scientifically grounded approach to neurological care, particularly in treating autism and related disorders. Their ability to restructure water molecules, enhance immune function, and optimize neural energy fields aligns with cutting-edge bioenergetic principles. As a non-invasive and holistic therapy, scalar wave applications hold transformative potential for improving neurological health and quality of life. Continued research and clinical integration will pave the way for realizing the full potential of this innovative modality.
Applications and Future Research
The potential applications of scalar waves are vast, spanning healthcare, technology, and environmental science. Some promising areas of research include:
i. Health and Wellness: Development of devices for scalar wave therapy and water structuring.
ii. Energy Transmission: Exploration of scalar energy as a clean, limitless power source.
iii. Communication Systems: Leveraging scalar waves for fasterthan- light data transfer.
iv. Quantum Research: Investigating scalar waves’ role in nonlocality and quantum coherence.
Despite these exciting prospects, scalar wave science remains in its infancy, often overshadowed by skepticism and limited empirical data. More rigorous studies and interdisciplinary collaborations are needed to substantiate claims and unlock their full potential.
The Future Role of Artificial Intelligence (AI) and Machine Learning (ML) in Scalar Wave- Based Neurological Care
Artificial Intelligence (AI) and Machine Learning (ML) [16-17] are poised to play transformative roles in advancing the application of Longitudinal Scalar Wave (LSW) therapy and other non-invasive treatments like Transcranial Magnetic Stimulation (TMS) and Transcranial Electrical Stimulation (TES) for neurological care and Autism Spectrum Disorder (ASD). These technologies can enhance every stage of the therapeutic process, from understanding scalar wave mechanisms to delivering personalized treatment.
Enhancing Understanding and Research on Scalar Waves
AI and ML can significantly accelerate research into scalar waves by analyzing complex datasets, modeling interactions, and validating theories:
i. Wave-Biological Interactions: AI can model the interactions between scalar waves and biological systems, such as how molecular water coherence influences cellular behavior or neural activity.
ii. Mechanism Discovery: ML algorithms can analyze experimental data to uncover unknown mechanisms of action for scalar waves, such as their effects on neural plasticity or mitochondrial function.
iii. Simulations and Optimization: AI-powered simulations can optimize wave frequencies, amplitudes, and delivery mechanisms for maximal therapeutic benefits.
Personalized Treatment Plans
AI and ML can facilitate highly personalized scalar wave therapies tailored to individual patients’ needs:
i. Patient Profiling: Machine learning models can analyze medical history, genetic factors, and neural activity patterns to predict how a patient might respond to scalar wave therapy.
ii. Dynamic Adaptation: Real-time AI systems can adapt scalar wave parameters based on a patient’s physiological responses, ensuring optimal outcomes.
iii. Integration with Other Modalities: AI can combine scalar wave therapy with TMS, TES, and other interventions, creating hybrid treatment plans customized for each individual.
Diagnostic and Monitoring Tools
AI and ML can revolutionize diagnostics and real-time monitoring in scalar wave-based therapies:
i. Brainwave Analysis: AI algorithms can process EEG, fMRI, or MEG data to identify disruptions in neural activity and monitor improvements during scalar wave therapy.
ii. Biomarker Identification: ML can identify key biomarkers of neuroinflammation, oxidative stress, and immune function that scalar wave therapy targets, enabling precise tracking of treatment progress.
iii. Feedback Systems: AI-enabled wearable devices could provide continuous feedback on a patient’s bioenergetic state, helping fine-tune scalar wave applications.
Accelerating Clinical Trials and Validation
AI can streamline the design and execution of clinical trials for scalar wave therapy:
i. Participant Selection: ML models can identify suitable candidates for trials based on their likelihood of responding positively to scalar wave therapy.
ii. Outcome Prediction: AI can predict trial outcomes by analyzing preliminary data, helping refine protocols and reduce costs.
iii. Data Analysis: Advanced AI analytics can identify patterns in clinical trial data, providing insights into scalar wave efficacy and areas for improvement.
Creating Intelligent Scalar Wave Delivery Systems
AI-driven devices can enhance the precision and effectiveness of scalar wave therapy:
i. Smart Devices: AI-controlled scalar wave generators can dynamically adjust wave properties to match real-time physiological feedback.
ii. Robotics Integration: Robotic systems guided by AI can deliver scalar waves with pinpoint accuracy to target specific areas of the brain or body.
iii. Self-Learning Systems: ML-enabled devices can learn from patient responses to improve their performance over time.
Broader Applications Beyond Neurological Care
The role of AI and ML extends beyond autism and neurological disorders to other potential applications of scalar wave therapy:
i. Chronic Disease Management: AI can expand scalar wave applications to conditions like autoimmune disorders, chronic pain, and cardiovascular health.
ii. Preventative Medicine: ML models can predict and prevent disease onset by integrating scalar wave therapy into wellness programs.
AI and ML as Catalysts for Scalar Wave Therapy Evolution
Artificial Intelligence and Machine Learning will be essential in unlocking the full potential of scalar wave therapy for ASD and other neurological disorders. From enhancing our understanding of scalar waves to delivering precise, personalized, and adaptive treatments, these technologies can bridge the gap between theoretical promise and practical implementation. By integrating scalar wave therapy into AI-driven healthcare systems, we can create a future where non-invasive, holistic, and data-driven approaches transform the landscape of neurological care.
Conclusion
Scalar waves are an intriguing and underexplored phenomenon with the potential to reshape our understanding of physics, biology, and energy. Their ability to transcend space and time, influence water structure, boost immune function, and play a role in nature’s formation processes highlights their versatility and promise. As research progresses, scalar waves may offer transformative solutions to some of humanity’s most pressing challenges, guiding us toward a more harmonious and sustainable future.
The treatment of Autism Spectrum Disorder (ASD) requires innovative, non-invasive approaches that address the complex neurobiological and systemic challenges associated with the condition. Emerging technologies like Transcranial Magnetic Stimulation (TMS), Transcranial Electrical Stimulation (TES), and the proposed Longitudinal Scalar Wave (LSW) therapy represent promising advancements in ASD care. Each approach offers unique mechanisms and benefits:
i. TMS excels in targeted modulation of specific brain regions, improving neuroplasticity and connectivity.
ii. TES provides a cost-effective and portable solution, enhancing cortical excitability and behavioral regulation.
iii. LSW therapy, while in its theoretical and early experimental stages, introduces a groundbreaking holistic approach by harmonizing bioenergetic fields, reducing neuroinflammation, and improving cellular hydration and immune function.
Among these, LSW therapy stands out for its potential to achieve systemic and long-term benefits by addressing the root causes of neurological imbalances, rather than focusing solely on symptomatic relief. Its capacity to restructure water molecules, enhance immune modulation, and promote coherence in biological systems offers a transformative perspective on ASD treatment.
However, the true potential of LSW therapy lies in rigorous scientific validation through interdisciplinary research and clinical trials. By integrating the precision of TMS, the accessibility of TES, and the systemic impact of LSW, a comprehensive and synergistic approach to ASD care can be envisioned.
In conclusion, scalar wave technology, alongside established methods like TMS and TES, may represent the next frontier in non-invasive neurological care, offering hope for more effective, sustainable, and holistic interventions for individuals with ASD and beyond. Continued exploration and refinement of these modalities will be critical to shaping the future of neurotherapeutics.
References
- Bahman Zohuri (2024) Innovations in Neuromodulation: The Role of Biomedical Science in Transcranial, Magnetic and Electrical Stimulation for Neurological, Disorder Treatment. AJBSR 24(4): 415-418.
- Bahman Zohuri, David R Modisette (2019) Electrical Brain Stimulation to Treat Neurological Disorder. Journal of Health Science 123-128.
- Bahman Zohuri, Patrick J McDaniel (2022) Transcranial Magnetic and Electrical Brain Stimulation for Neurological Disorders, Academic Press.
- Shiva Dalili, Bahman Zohuri (2024) Unraveling the Knot: Noninvasive Strategies to Combat Stress for a Healthier Heart by Artificial Intelligence Innovations. Japan Journal of Clinical & Medical Research, 4(4): 1-3.
- Shiva Dalili, Bahman Zohuri (2023) Understanding Autism Spectrum Disorder (ASD) Unraveling the Mysteries (A Short Review), Management Studies. David Publishing 11(5): 270-280.
- Bahman Zohuri, Shiva Dalili () Understanding Down Syndrome (DS) and Autism Spectrum Disorder (ASD) A Comparative Analysis and Noninvasive Treatment Approaches. Journal of Psychiatry and Neurochemistry Research 1(3): 1-7.
- Shiva Dalili, Bahman Zohuri (2023) Anorexia Nervosa: Unmasking the Deadly Struggle and the Path to Recovery A Review Article. Sci Set J of Med Cli Case Stu pp. 1-7.
- Bahman Zohuri, Shiva Dalili (2023) Understanding Dementia: Types and Their Impact. Sci Set J of Med Cli Case Stu pp. 1-4.
- Shiva Dalili, Bahman Zohuri (2023) The Silent Struggle: Depression-Driven Severe Paranoia and Hallucination Symptoms”, Scholarly Journal of Psychology and Behavioral Sciences 7(4): 888-891.
- Shiva Dalili, Bahman Zohuri (2023) Revolutionizing Treatment: AI-Driven Noninvasive Approaches for ODD and ADHD. David Publishing 11(4): 215-220.
- Shiva Dalili, Bahman Zohuri (2023) Unveiling the Intricacies of Opposite-Defiant Disorder Understanding Disruptive Behavior. Science Set Journal of Medical and Clinical Case Studies pp. 1-6.
- Bahman Zohuri (2018) Scalar Wave Driven Energy Applications. 1st Edition, Springer Publishing Company.
- Bahman Zohuri (2018) Principle of Scalar Electrodynamics Phenomena Proof and Theoretical Research. Journal of Energy and Power Engineering 12: 408-417.
- Bahman Zohuri (2025) Wave-Mediated with Genetically Modified Organism (GMO) Exploring the Influence of Electromagnetic and Scalar Fields on Biological System. Journal of Clinical Case Studies Reviews & Reports 3(1): 1-6.
- Bahman Zohuri, Masoud Moghaddam (2018) Artificial Intelligence Driven by a General Neural Simulation System- Genesis. (Neurology - Laboratory and Clinical Research Developments), Nova Science Pub Inc.
- Bahman Zohuri (2024) Unveiling Autism Myths, Facts, and AI/ML in Early Diagnosis. Acta Scientific Pharmaceutical Sciences 8(11).
- Bahman Zohuri, Simak Zadeh (2020) Artificial Intelligence Driven by Machine Learning and Deep Learning. Nova Science Pub Inc.


We use cookies to ensure you get the best experience on our website.