Review Article
Creative Commons, CC-BY
Optimization and Modelling of the Engineering properties of EPS-RHA Concrete for Eco-friendly Construction Techniques
*Corresponding author: Godwin Akeke, Civil Engineering Department, University of Cross River State, Calabar, Nigeria and Civil Engineering Department, Gregory University Uturu, Nigeria.
Received: February 17, 2025; Published: February 25, 2025
DOI: 10.34297/AJBSR.2025.25.003390
Abstract
EPS and RHA are two distinct agro-industrial byproducts with potential for recycling and reuse, promoting environmental sustainability by minimizing disposal impacts. This study explores their feasibility as partial replacements for conventional concrete components. The research highlights their role in sustainable construction, emphasizing the importance of precise mix proportions. Scheffe’s optimization model was applied to formulate a mathematical model aimed at optimizing the compressive strength of EPSRHA concrete, incorporating cement, rice husk ash, sand, granite, polystyrene, and water. A total of 60 standard 100x100x100mm cubes were produced using 20 different mix ratios-10 for model calibration and 10 for validation. The optimized compressive strength of 32.01N/mm² was achieved after 28 days of curing with a mix ratio of 0.55:1:1.25:1.5 (water: cement/rice husk ash: sand: granite/polystyrene). The model’s predictions closely matched experimental results and were validated using the Fischer test at a 95% confidence level. This predictive model provides a reliable framework for determining mix ratios to achieve targeted compressive strengths in RHA-EPS concrete.
Keywords: RHA-EPS, Optimization, Eco-friendly, Construction, Techniques
Introduction
The construction industry is undergoing a paradigm shift towards sustainable and eco-friendly materials to mitigate environmental challenges such as resource depletion, carbon emissions, and construction waste. Expanded polystyrene (EPS) and Rice Husk Ash (RHA) have emerged as promising materials for developing lightweight and high-performance concrete with improved engineering properties. EPS, a lightweight polymer, enhances thermal insulation and reduces structural load, while RHA, a byproduct of rice milling, improves pozzolanic activity and enhances durability.
This study focuses on the optimization and modelling of EPSRHA concrete to enhance its mechanical and durability properties, making it a viable alternative for eco-friendly construction techniques. By employing advanced optimization methods, such as Scheffe’s methodology and machine learning models, the research aims to identify the optimal mix proportions that balance strength, workability, and environmental sustainability.
The integration of EPS and RHA in concrete not only contributes to waste recycling and carbon footprint reduction but also aligns with the global push for green building solutions. This research will provide insights into the structural feasibility, economic viability, and environmental benefits of EPS-RHA concrete, paving the way for its practical application in sustainable construction.
In the pursuit of sustainable development and eco-friendly construction practices, the utilization of waste materials in concrete production has gained significant attention. One such innovation involves the incorporation of Rice Husk Ash (RHA) and Polystyrene into concrete mixtures. RHA, a byproduct of rice milling, is an abundant agricultural waste that poses disposal challenges. But when utilized properly, its high silica content makes it a useful supplemental cementitious material that improves the durability and mechanical qualities of concrete [1].
Polystyrene, a widely used plastic, contributes to environmental pollution due to its non-biodegradable nature. By integrating polystyrene waste into concrete, not only is the environmental footprint reduced, but the resultant lightweight concrete also offers improved thermal insulation and reduced density [2].
Mathematical optimization techniques play a crucial role in determining the optimal mix proportions of RHA and polystyrene in concrete to achieve desired performance characteristics. Optimization methods such as Response Surface Methodology (RSM), Genetic Algorithms (GA), Osadebe and Scheffe’s Models enable the systematic exploration of mix component interactions and their effects on concrete properties [3]. Through these techniques, it is possible to enhance the quality of the concrete, while simultaneously addressing environmental concerns.
Recent studies have demonstrated the potential benefits of RHA-polystyrene concrete. For instance, experimental investigations have shown significant improvements in the strength and thermal insulation of concrete containing RHA and polystyrene beads [4]. Furthermore, it has been discovered that adding RHA lowers the permeability of concrete, thereby enhancing its durability [5]. The adoption of such eco-friendly construction methods not only aligns with sustainable development goals but also offers a viable solution to the disposal issues associated with industrial and agricultural waste.
This research focuses on optimizing the characteristics of RHA-polystyrene concrete through mathematical modeling to create a sustainable and high-performance construction material. Utilizing advanced optimization strategies, the study aims to determine the most effective mix proportions that enhance both structural integrity and environmental sustainability when incorporating RHA and polystyrene in concrete. The findings are anticipated to make a valuable contribution to eco-friendly construction practices and offer practical guidance for the advancement of green building materials.
A prior investigation, referenced in [6], employed Scheffe’s second-order polynomial to formulate a model for predicting the compressive strength of cement concrete incorporating rice husk ash. The study revealed a strong alignment between experimental data and forecasted outcomes and the reliability of the model was substantiated by a t-test probability value of 0.807 and an ANOVA p-value of 0.93. Similarly, in [7], another investigation projected a peak compressive strength of 25.04 N/mm², using a material mix of 0.6:1:1.75:1.75 for water, cement, laterite, and granite. The findings confirmed that Scheffe’s model effectively predicts concrete strength at a 5% significance level when applied to these constituents.
Moreover, [8] employed Scheffe’s second-degree polynomial to develop an optimization model for cement concrete incorporating rice husk ash. The findings indicated a strong correlation between predicted and actual results. The optimal mix ratio of 0.475:1.00:2.75:3.50 for water, binder (comprising 80% cement and 20% RHA), fine aggregate, and coarse aggregate resulted in the highest recorded compressive strength of 40.75 N/mm². Conversely, the lowest strength of 7.41 N/mm² was associated with a 0.47:1.00:2.50:4.5 ratio. The model’s accuracy was assessed using statistical techniques such as ANOVA, F-tests, and Student’s t-tests at a 95% confidence level, with ANOVA producing a p-value of 0.832. As highlighted in [9], ANOVA proved to be the most reliable method for model validation. Additionally, the derived model equations support the optimization of specific performance parameters within defined constraints.
In [10], a forecasting model was developed to use Scheffe’s method to forecast the compressive strength of concrete that uses Sawdust Ash (SDA) in place of some of the fine aggregate. To validate the model’s accuracy, a two-tailed t-test was performed at a 5% significance level, resulting in an R² value of 0.8336, signifying high reliability. The findings indicated that substituting 5% of the fine aggregate with SDA preserves the 28-day compressive strength of concrete while promoting sustainability.
A study conducted by [11] compared Scheffe’s simplex lattice approach with Osadebe’s optimization method to estimate the compressive strength of sand Crete blocks made from alluvial deposits. Osadebe’s formulation was based on the absolute mass or volume of essential materials, including cement, sand, laterite fines, and the water-cement ratio, and was expressed mathematically as a function of these real component proportions: f (z₁, z₂, z₃, z₄). In contrast, Scheffe’s model represented the mixture as y = f (x₁, x₂, x₃, x₄), relying on pseudo-component ratios. The findings indicated that Osadebe’s approach is more user-friendly, as it directly incorporates actual mix ratios, whereas Scheffe’s model requires an additional step to convert pseudo-component values into real proportions. According to research by [12] on the characteristics of RHA concrete with periwinkle shell replacing some of the granite, the density of this type of concrete is lower than that of regular concrete. Additionally, the study demonstrated that when the Periwinkle Shell PS content increased, the split tensile test and compressive strength results declined. Apart from the financial benefits derived from substituting traditional components, a concrete mixture consisting of 30% PS and 20% RHA yields a minimum strength of 20N/ mm2 after 90 days.
The pseudo and component proportion models of [13] investigation on optimizing the modulus of rupture of lightweight concrete using Scheffe’s model used Scheffe’s (4,2) simplex lattice design. The optimization model was created using the test data from the 28th day. The study made use of Matlab and Minitab 16. The average MOR of 2.01N/mm2 was found using Scheffe’s pseudo model result. This demonstrated that every one of the study’s 125 optimal mix ratios could be used successfully for concrete projects, particularly when it came to low-rise structures and wall partitions for tall buildings. Mix ratios can efficiently handle the problem of disposing of EPS waste and lessen the environmental impact of extracting aggregate material if they have an optimal modulus of rupture strength. This advances SDG 11’s objectives, which centre on creating accessible, safe, flexible, and ecologically sustainable urban environments and communities.
The goal of a study by [14] was to improve the mechanical qualities of concrete by adding recycled Ceramic Tile (CRT) aggregates. This was accomplished by developing second-degree polynomial models based on Scheffe’s methodology to estimate the material’s overall manufacturing cost, workability (as determined by slump height), and compressive strength. The study found a direct correlation between an increase in compressive strength and the use of CRT as a fine aggregate. It was suggested that CRT may completely take the place of traditional fine aggregate in the manufacturing of concrete. The created models can precisely forecast concrete’s strength, slump, and cost given a specific mix ratio, or the other way around. Through statistical research, such as ANOVA and residual normality evaluations, the validity of these models was confirmed, and [15] confirmed their dependability at a 95% confidence level. Additionally, these equations were used in optimization procedures to determine the best cost-effective blend for particular performance requirements, with encouraging outcomes. As discussed in [16] and [17], the developed models can be used as a tool for additional optimizations catered to different design criteria.
A study referenced in [18] explores the impact of substituting cement and coarse aggregate with Expanded Polystyrene (EPS) and Rice Husk Ash (RHA) in concrete. The findings indicate that incorporating higher proportions of RHA and EPS leads to a notable decline in compressive, tensile, and flexural strength. Additionally, the research highlights changes in workability and water absorption, ultimately demonstrating that replacing ordinary Portland Cement (OPC) and coarse aggregate with these materials results in an overall reduction in concrete strength.
Materials and Methodology
Expanded Polystyrene (EPS), often referred to as cork in casual language, originates from various electronic packaging materials. It is mechanically processed into granules measuring between 6 and 15 mm in diameter, which can serve as a partial substitute for coarse aggregate. In Obubra, Cross River State, Nigeria, rice mills generate Rice Husk Ash (RHA) as a byproduct. The rice mill’s location is illustrated in Figure 1. After undergoing processing, the husks are transformed into RHA and left to dry naturally in the open air.
Ordinary Portland Cement (OPC) used in the study was sourced from the Lafarge cement plant in Akamkpa Local Government Area, Cross River State, Nigeria. Coarse aggregates, ranging from 15 to 22 mm in size, were supplied by Faith Plant International Limited quarry in Akamkpa. Additionally, fine aggregate was collected from the Marina River. The sand was sieved to eliminate organic impurities and assess its grading zone, ensuring its suitability for the concrete mix.
Potable water, meeting the required standards for concrete production, was used for both mixing and curing (Figures 1,2).
There were several steps in the process: first, the raw materials were collected and evaluated. Following grading of the aggregates, a second round of material evaluation was conducted. Predetermined mix ratios were used to construct concrete examples. Scheffe’s regression equation was developed based on the experimental outcomes and this guarantees that data points are distributed evenly throughout the (q-1) simplex.
From Scheffe’s simplex lattice,
(Figure)
Multiplying eqn (1) again by X1, X2, X3, and X4, and Substituting the functions of bo and X2i
i with i=1, 2, 3 and 4, we have
Re-arranging the equation, we have
Then, this becomes
In compact form, equation can be stated as:
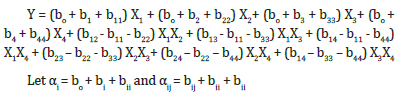
Hence, the mathematical model based on Scheffe’s second-degree polynomial is represented by Equation (5).
Equation 8 is the general form of Scheffe’s second-degree polynomial
A methodology was implemented to develop enhanced mixtures aimed at achieving the maximum compressive strength in RHA-Polystyrene concrete, ensuring its applicability in construction.
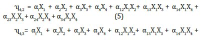
To achieve this, Scheffe’s quadratic polynomial model was employed, incorporating four fundamental design variables within the formulation process. As a result, the experimental mixture was formulated using the (4,2) simplex lattice approach outlined by Scheffe, with computations performed in Microsoft Excel. The corresponding design matrix is presented in Table 5.
Equation 2 provides a mathematical representation of the correlation between the real and pseudo components.
Here, Z represents the actual components, X denotes the artificial- elements, and A is a fixed matrix that encapsulates the initial proportion ratios of the mixture along with singular and paired combinations. Typically, experts with extensive knowledge of concrete mixture experiments determine these ratios. The matrix A is derived from the initial trial mixture and is presented as follows:
Putting these into a matrix form, we have [A] matrix:
At the four vertices of the tetrahedron, an artificial marker associated with the original blend signifies a fusion of two substances. These hypothetical markers assist in determining the actual components of the mixture.
Where X1=water/cement ratio
X2=ordinary limestone cement and RHA fraction
X3=fine aggregate fraction
X4=coarse aggregate and EPS fraction
For A12;
Subsequent to this process, similar procedures were executed for additional run orders, and the outcomes are illustrated in the following Table 1.
Table 1: Mix ratios and components fraction based on Scheffe’s second-degree polynomial for Model mix ratios.
The mixture proportions of the control points, illustrating actual and pseudo-components formulation, are computed along with the response to validate the optimization and test the adequacy of the generated model. The computation of the 10 points is as follows:
For control point A1;
For control point A2;
Z1=0.57; Z2=1; Z3=1.27; Z4=1.54
Subsequent to this process, similar procedures were executed for additional run orders, and the outcomes are illustrated in Table 2.
Table 2: Mix ratios and components fraction based on Scheffe’s second-degree polynomial for control point.
The ability of concrete to withstand compressive forces is regarded as its most critical characteristic. To evaluate this, a compression test is conducted to analyse how materials react under a compressive load. For this experiment, three identical concrete specimens were prepared for each of the twenty (20) mix proportions using moulds with dimensions of 100mm x 100mm x 100mm. Prior to casting, the moulds were thoroughly cleaned and coated with oil internally. Then, layers of freshly mixed concrete, about 50 mm thick, were poured. A tamping rod with a bullet-shaped tip that was 60 cm long and 16 mm in diameter was used to compact each layer, applying 35 strokes per layer. A trowel was used to level the concrete’s surface before it was allowed to cure. The specimens were taken out of the molds and placed in water to cure after a day. The samples were tested for compressive strength using a Universal Testing Machine (UTM) following a 28-day curing period. Up until failure, the load was gradually applied at a rate of 140 kg/cm³ per minute. Next, each concrete cube’s compressive strength was calculated using the relevant formula.
Fcu=W/A is the compressive strength (kN/mm2).
where A is the cube Mold’s cross-sectional area (mm2) and W is the maximum applied load (N).
Split Tensile Strength Test
The mixture was put into cylindrical Molds that were 200 mm high and 100 mm in diameter. After a day, the samples were taken out of the Molds and put in a water bath that was kept at a regulated temperature of 23 to 25°C. The tensile strength of the mixture was assessed using this configuration at 7, 14, 21, and 28 days of cure. At each designated curing interval, a crushing machine was used to measure the tensile strength.
The sample’s split tensile strength was determined using;
Flexural Strength Test
The mixture was put into 100 x 100 x 500 mm prismatic Molds. After a day, the samples were taken out of the Mold and put in a curing tank that was kept between 23 and 25 degrees Celsius. Using a crushing machine, the flexural strength of the combination was assessed at 7, 14, 21, and 28 days of curing.
Therefore, the modulus of rupture (fb), also known as flexural strength, is calculated from
Durability
The durability of the concrete was measured using the concrete’s water absorption capacity, which is measured by a sorptivity coefficient. It is the variation of the concrete cubes’ dry and wet weights (measured in kN) before and after curing. This test serves as a durability check on concrete, determining if corrosion and degradation from water or other hazardous substances may occur within the material. Chemical assaults are common on concrete, and unmonitored concrete structures can degrade and become structurally unsafe. Even worse, the concrete’s internal reinforcing bars are susceptible to corrosion. Every concrete cube specimen used in this study underwent this test. Both immediately following curing and after demolding, the cubes will be weighed. Percentage of water absorption is then computed from the difference in the dry and wet weights.
Finally, testing was conducted, and Scheffe’s regression model was developed using the following flowchat.
Findings and Analysis
The result of the slump test shows slight difference of 11mm of slump height between the control value (0% RHA, 0% EPS) and the first test value (95% OPC, 5% RHA, 5% EPS). Increase in percentage of partial replacement of OPC and granite with RHA and EPS respectively shows to have stiffening effect on the concrete with gradual increase EPS content (Figure 3).
Table 4 displays the 28-day compressive strength test outcomes from the laboratory analysis, including the highest and lowest values recorded within the tested parameter range. This summary illustrates the achievable strength variations under the specified experimental conditions, emphasizing the potential for mix design optimization.
Higher compressive strength of 33.7575N/mm2 was recorded at point C12 with mix ratio of 0.575:1:1.275:1.55. Point 1, with its high cement content, was expected to exhibit greater compressive strength, but its low water/cement ratio of 0.5 revealed that factors beyond just cement content and water/cement ratio influence compressive strength behavior. This was evident as point 23 demonstrated higher strength despite point 1 having a lower water/ cement ratio and higher cement content compared to point C12. [7] noted that using Scheffe’s model for optimizing compressive strength in lateritic concrete yielded a predicted strength of 26.96 N/mm2 with a mix ratio of 0.5:1:1.6:1.5. Additionally, referencing [17], the highest predicted compressive strength using Scheffe’s model for River Stone aggregate concrete was 37.62 N/mm2 with a mix ratio of 0.5:1:2.4:3.6 (water-cement ratio, cement, river sand, river stone) (Figure 4, Table 3).
The mathematical model equation for optimizing the compressive strength of RHA-Polystyrene concrete, utilizing an extended Scheffe’s model within a (4,2) factor space, was derived by substituting the average experimental values from Table 4.7a for the initial 10 observation points (Y1, Y2, Y3, Y4, Y12, Y13, Y14, Y23, Y24, Y34) into Equation (5). The final expression for the model takes the following form:
thus, from Eq (4), we have;
Test For Model Adequacy
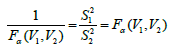
The Fischer test, which focuses on compressive strength at particular control points (C1, C2, C3, C4, C12, C13, C14, C23, C24, and C34), was used to assess the model’s reliability at a 95% confidence level. Two hypotheses were engaged in this study: the alternative hypothesis, which asserts a substantial difference between the laboratory and model-predicted compressive strength values, and the null hypothesis, which states there is no discernible difference between them. Table 4 provides a summary of the test results.
YE = Laboratory responses
Table 4: Fischer-Statistical Test Computations for Compressive Strength Model after 28 Days Wet Curing.
YAE = mean of the laboratory responses
YT = the model values
YAT = average of the model values
N = number of experimentalobservations
V = degree of freedom
α = significant level
The model for compressive strength at 28 days is acceptable at 95% confidence level if:
where significant level, α = 1 – 0.95 = 0.05; Degree of freedom,
Consequently,
which is 0.3145 ≤ 2.29 ≤3.18, is satisfying
Tensile Strength
Tensile strength measures a material’s resistance to pulling forces. The baseline value was 2.30 kN/mm². A mix containing 5% RHA and 5% EPS increased it to 2.44 kN/mm², indicating a strengthening effect. However, higher proportions led to a decline: 2.13 kN/mm² at 10%, 1.55 kN/mm² at 15%, and 1.41 kN/mm² at 20%. This suggests that excessive EPS reduces tensile strength, emphasizing the importance of an optimal mix ratio (Figure 5).
Flexural Strength
The control mix exhibited a flexural strength of 4.04 kN/mm², serving as the reference point. A slight reduction to 3.94 kN/mm² was observed with a 5% replacement of both RHA and EPS, suggesting that the combined effect of these materials weakens the concrete. With a 10% replacement, the strength further declined to 3.29 kN/mm², highlighting the negative impact of increasing EPS content. A 15% replacement led to a further drop to 2.91 kN/mm², indicating that EPS’s lightweight nature outweighs any potential benefits of RHA. At 20% replacement, the strength significantly decreased to 1.76 kN/mm², confirming the adverse effect of excessive EPS on flexural resistance (Figure 6).
Water Absorption Test
Moisture absorption is a key factor in evaluating concrete’s durability. The control mix (0% RHA, 0% EPS) had the lowest absorption at 0.36%, indicating strong resistance to moisture. Adding 5% RHA and 5% EPS increased absorption to 0.94%, likely due to the porous nature of these materials. At 10% RHA and 10% EPS, absorption rose to 1.09%, with EPS contributing to additional voids. Further increases were observed at 15% (1.17%) and 20% (1.28%) RHA-EPS mixes, highlighting the need to carefully balance these additives to maintain moisture resistance while achieving desired properties (Figure 7).
Model For Predicting the Tensile Strength of Rha-Eps Concrete
The mathematical model equation for predicting the tensile strength of RHA-EPS concrete, utilizing an extended Scheffe’s model within a (4,2) factor space, was derived as follows;
thus equation 10 is the model for the optimization of the tensile strength
Model For Predicting the Flexural Strength of Rha-Eps Concrete
The mathematical model equation for predicting the flexural strength of RHA-EPS concrete, utilizing an extended Scheffe’s model within a (4,2) factor space, was derived using.
thus equation 11 is the model for the optimization of the flexural strength,
Conclusion
The optimization and modelling of the engineering properties of Expanded Polystyrene (EPS) and Rice Husk Ash (RHA) concrete provide a sustainable approach to eco-friendly construction techniques. By integrating lightweight EPS and pozzolanic RHA as partial replacements for conventional concrete materials, this study enhances structural efficiency while reducing environmental impact. The modelling techniques used, such as regression analysis and machine learning, provide accurate predictions of mechanical properties, ensuring reliable performance in construction applications.
The results demonstrate that EPS-RHA concrete offers a viable balance between strength, durability, and sustainability, making it suitable for lightweight structures, insulation applications, and green building projects. Optimization strategies ensure that the ideal mix proportions maximize performance while maintaining cost-effectiveness. This research contributes to the development of innovative, sustainable materials that align with modern construction demands and environmental conservation efforts. Further studies on long-term durability and large-scale applications will help refine the adoption of EPS-RHA concrete in mainstream construction.
The research found that RHA-EPS concrete achieved a compressive strength of 33.76 N/mm² using Scheffe’s model, with an optimal mix ratio of 0.575:1:1.275:1.55 for water, cement/RHA, sand, and granite/polystyrene. The model proved to be accurate and dependable for strength prediction with 95% confidence.
Declarations
Availability of Data and Material
Data and materials are accessible upon request from the corresponding author. All relevant data used or produced in this study are included in the published article.
Funding
Engr. Prof. Godwin Akeke funded the conceptualization and decision to publish of the research work and Engr. Shalom Eyo funded the collection of materials for this research, Dr. Jerome Egbe funded the analysis of materials in the laboratory.
Authors’ Contributions
GA conceptualized, idealized and made major contributions in authenticating results gotten from the laboratory. SE aided in the preparation of manuscript. DE collected and interpreted results from laboratory responses.
Acknowledgement
None.
Conflict of interest
None.
APPENDIX0.
References
- Asokan P, Osmani M, Price ADF (2009) Assessing the recycling potential of glass fibre reinforced plastic waste in concrete and cement composites. Journal of Cleaner Production 17(9): 821-829.
- Basha SH, Abbas S, Haq S (2020) Enhancement of concrete properties by adding RHA and polystyrene beads. Construction and Building Materials 242: 118182.
- Habeeb GA, Fayyadh MM (2009) Rice husk ash concrete: the effect of RHA average particle size on mechanical properties and drying shrinkage. Australian Journal of Basic and Applied Sciences 3(3): 1616-1622.
- Khankhaje E, Salim MR, Mirza J, Khan R, Najm HM, et al. (2017) Properties of quiet pervious concrete containing oil palm kernel shell and cockleshell. Applied Acoustics 122: 113-120.
- Safiuddin M, West JS, Soudki KA (2010) Hardened properties of self-consolidatinghigh performance concrete including rice husk ash. Cement and Concrete Composites 32(9): 708-717.
- Attah IC, Etim RK, Alaneme GU, Bassey OB (2020) Optimization of Mechanical Properties of Rice Husk Ash Concrete Using Scheffe’s theory. SN Applied Sciences 2: 928.
- Mbadike EM, Osadebe NN (2013) Application of Scheffe’s model in optimization of compressive strength of lateritic concrete. Journal of Civil Engineering and Construction Technology, 4(9): 265-274.
- Akeke GA, Nnaji C, C, Udokpoh, U. U (2022) Compressive strength Optimisation of Rice Husk Ash Concrete Using Scheffe’s Mathematical Model. Építőanyag-Journal of Silicate Based and Composite Materials 74(4): 129-135.
- Islam MN, Zain MFM, Jamil M (2012) Prediction of Strength and Slump of Rice Husk Ash Incorporated High-Performance Concrete. Journal of Civil Engineering and Management 18(3): 310-317.
- Oba KM, Ugwu O, Okafor F O (2019) Development of Scheffe’s Model to Predict the Compressive Strength of Concrete using SDA as Partial Replacement for Fine Aggregate. International Journal of Innovative Technology and Exploring Engineering (IJITEE): 8(8): 2278-3075.
- Mama BO, Osadebe NN (2011) Comparative Analysis of Two Mathematical Models for Prediction of Compressive Strength of Sandcrete Blocks Using Alluvial Deposit. Nigerian Journal of Technology 30: 3.
- Aboshio A, Shuaibu HG, Abdulwahab MT (2018) Properties of Rice Husk Ash Concrete with Periwinkle Shell as Coarse Aggregates. Nigerian Journal of Technological Development 15(2): 33-38.
- Ubi SE (2021) Optimizing the Tensile Strength of Polystyrene Lightweight Concrete: A Panacea for Sustainable Housing Development in Developing Countries. Journal of Engineering Research and Reports 20(1): 107-125
- Ambrose EE, Okafor FO, Onyia ME (2021) Compressive Strength and Scheffe’s Optimization of Mechanical Properties of Recycled Ceramics Tile Aggregate Concrete. Építőanyag-Journal of Silicate Based and Composite Materials 73(3): 91-102.
- Ephraim ME, ThankGod O, Nule SJ (2019) Optimization Model for Prediction of Compressive Strength of Concrete Containing Fly Ash and Quarry Dust Based on Scheffe’s Simplex Theory. International Journal of Civil and Structural Engineering Research 6(2): 227-239.
- Awodiji CTG, Sule S (2023) Optimization of Compressive Strength of Lime Cement Concrete using Scheffe’s Regression Theory. Advance Researches in Civil Engineering 4(4): 38-54.
- Ezeh JC and Ibearugbulem OM (2009) Application of Scheffe’s model in optimization of compressive strength of Rivers stone Aggregate concrete. Int J Nat Appl Sci 5(4): 303-308.
- Godwin Akeke, Shalom Eyo and Steven Takim (2024) Improvement on Sustainable Cons-truction methods using EPS and RHA as Bio Composites. International Journal of Civil Engineering and Technology (IJCIET) 15(3): 87-109.









We use cookies to ensure you get the best experience on our website.