Research Article
Creative Commons, CC-BY
Structural Model of a Nano Drive for Biomedical Science
*Corresponding author:Afonin SM, National Research University of Electronic Technology, Russia.
Received: November 2, 2023; Published: January 23, 2024
DOI: 10.34297/AJBSR.2024.21.002825
Abstract
The structural model of a nano drive is determined for biomedical science. The structural scheme of the piezo drive is obtained. The matrix equation is constructed for a nano drive.
Keywords: Nano drive, Piezo drive, Structural model and scheme, Matrix equation, Biomedical science
Introduction
A nano drive based on the piezomagnetic, magnetostriction, piezoelectric, electrostriction effects is used for biomedical science, nanomedicine, nanotechnology, nanobiology, microsurgery. The piezo drive is used in scanning microscopy, astronomy for alignment and focusing, image stabilization, in adaptive optics and work with the genes [1-9].
Structural Model
The expression of electromagnet elasticity [1-15] has the forn
here Tj - the mechanical stress, Em - the electric field strength, Hm - the magnetic field strength, SijE,H - the elastic compliance for E = const , H = const , dmiH - the piezo module, dmiE - the magnetostriction coefficient, Si - the relative deformation, the axis i, j, m.
Therefore, the expression of the reverse piezo effect [1-15]
and the expression of the magneto strictive effect [1-15]
The expression of the shift inverses piezo effect [1-15]
The differential equation of a nano drive is calculated [4-58]
here Ξ(x,s) , x , s, γ are the transform of displacement, the coordinate, the parameter, the coefficient of propagation.
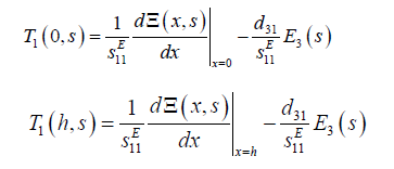
For the shif piezo drive at x = 0 Ξ(0,s) = Ξ1 (s) and at x = b
and the solution of this differential equation is calculated
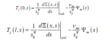
At x = 0 and x = b the expressions [11-39] are written
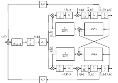
The structural model
The expression of the shift magnetostrictive effect [1-15]
The structural model is transformed
The expression of the transverse inverse piezo effect [1-15]
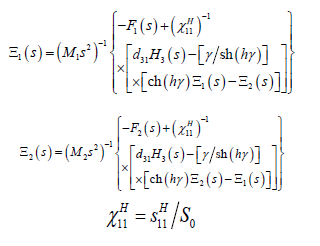
The solution is calculated
The system at x = 0 and x = h is calculated
The structural model has the form
The expression of the transverse magneto strictive effect [1-15]
The structural model is transformed
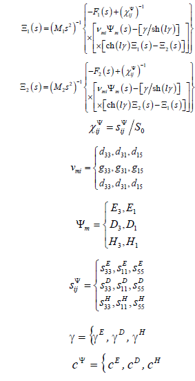
In general atl = { δ, h, b the solution is calculated
The system is transformed
The structural model on Figure 1 is calculated
The matrix of deformations is calculated
In static the longitudinal deformations
For d33 = 4∙10-10 m/V, U = 75 V, M1 = 1 kg, M2 = 4 kg the static deformations ξ1 = 24 nm, ξ2 = 6 nm and ξ1+ξ2 = 30 nm are calculated at error 10%.
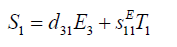
The expression of the direct piezo effect has form [1-15]
here Dm- the electric induction, εmkE- the permittivity.
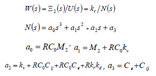
The transform for the back electromotive force on Figure 2 is evaluated
In general the reverse and direct coefficients are calculated (Figure 2)
At voltage control of the piezo drive its characteristis are evaluated
At current control of the piezo drive
here
- the sectional area of the capacitor,
- the capacitance,
- the electromechanical coupling coefficient.
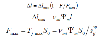
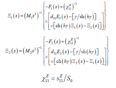
For a nano drive the mechanical and adjustment characteristics [11-26] are evaluated
The mechanical characteristic is written
Therefore, for the transverse piezo drive this characteristic is evaluated
At d31 = 2∙10-10 m/V, E3 = 1.5∙105 V/m, h = 2.5∙10-2 m, S0 =1.5∙10-5 m2, s11E = 15∙10-12 m2/N the values Δhmax = 750 nm and Fmax = 30 N are found at error 10%
In static the deformation of a nano drive
The adjustment characteristic of a nano drive is evaluated
here
- the elastic compliance, ks - the coefficient of the change of elastic compliance
The expression for Figure 3 is evaluated
There kv is the speed damping coefficient (Figure 3).
At R = 0 the expression is evaluated
For M = 4 kg, Cl = 0.1∙107 N/m, C11E = 1.5∙107 N/m the values Tt = 0.5∙10-3 s, ωt = 2∙103 s-1 are calculated at error 10%.
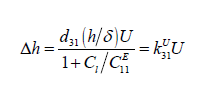
The static deformation
For d31 = 2∙10-10 m/V, h/δ = 22, Cl/C11E = 0.1 the coefficient k31U = 4 nm/V is determined at error 10%.
Conclusion
For a nano drive the structural model is evaluated. The matrix of the deformations is constructed. The characteristics of the piezo drive are determined for biomedical science.
Acknowledgement
None.
Conflict of Interest
None.
References
- Schultz J, Ueda J, Asada H (2017) Cellular Actuators. Butterworth-Heinemann Publisher: 382.
- Afonin SM (2006) Absolute stability conditions for a system controlling the deformation of an elecromagnetoelastic transduser. Doklady Mathematics 74(3): 943-948.
- Uchino K (1997) Piezoelectric actuator and ultrasonic motors. Kluwer Academic Publisher: 350.
- Afonin SM (2005) Generalized parametric structural model of a compound elecromagnetoelastic transduser. Doklady Physics 50(2): 77-82.
- Afonin SM (2008) Structural parametric model of a piezoelectric nanodisplacement transducer. Doklady Physics 53(3): 137-143.
- Afonin SM (2006) Solution of the wave equation for the control of an elecromagnetoelastic transduser. Doklady Mathematics 73(2): 307-313.
- Cady WG (1946) Piezoelectricity: An introduction to the theory and applications of electromechancial phenomena in crystals. McGraw Hill Book Company: 806.
- Mason W editor (1964) Physical Acoustics: Principles and Methods. Vol. 1. Part A. Academic Press: 515.
- Shevtsov SN, Soloviev AN, Parinov IA, Cherpakov AV, Chebanenko VA (2018) Piezoelectric Actuators and Generators for Energy Harvesting. Springer Cham: 182.
- Zwillinger D (1989) Handbook of Differential Equations. Academic Press: 673.
- Afonin SM (2006) A generalized structural-parametric model of an elecromagnetoelastic converter for nano- and micrometric movement control systems: III. Transformation parametric structural circuits of an elecromagnetoelastic converter for nano- and micrometric movement control systems. Journal of Computer and Systems Sciences International 45(2): 317-325.
- Afonin SM (2006) Generalized structural-parametric model of an electromagnetoelastic converter for control systems of nano-and micrometric movements: IV. Investigation and calculation of characteristics of step-piezodrive of nano-and micrometric movements. Journal of Computer and Systems Sciences International 45(6): 1006-1013.
- Afonin SM (2016) Decision wave equation and block diagram of electromagnetoelastic actuator nano- and microdisplacement for communications systems. International Journal of Information and Communication Sciences 1(2): 22-29.
- Afonin SM (2015) Structural-parametric model and transfer functions of electroelastic actuator for nano- and microdisplacement. Nova Science: 225-242.
- Afonin SM (2017) A structural-parametric model of electroelastic actuator for nano- and microdisplacement of mechatronic system. Nova Science19: 259-284.
- Afonin SM (2018) Electromagnetoelastic nano- and microactuators for mechatronic systems. Russian Engineering Research 38(12): 938-944.
- Afonin SM (2012) Nano- and micro-scale piezomotors. Russian Engineering Research 32(7-8): 519-522.
- Afonin SM (2007) Elastic compliances and mechanical and adjusting characteristics of composite piezoelectric transducers, Mechanics of Solids 42(1): 43-49.
- Afonin SM (2014) Stability of strain control systems of nano-and microdisplacement piezotransducers. Mechanics of Solids 49(2): 196-207.
- Afonin SM (2017) Structural-parametric model electromagnetoelastic actuator nanodisplacement for mechatronics. International Journal of Physics 5(1): 9-15.
- Afonin SM (2019) Structural-parametric model multilayer electromagnetoelastic actuator for nanomechatronics. International Journal of Physics 7(2): 50-57.
- Afonin SM (2021) Calculation deformation of an engine for nano biomedical research. International Journal of Biomed Research 1(5): 1-4.
- Afonin SM (2021) Precision engine for nanobiomedical research. Biomedical Research and Clinical Reviews. 3(4): 1-5.
- Afonin SM (2016) Solution wave equation and parametric structural schematic diagrams of electromagnetoelastic actuators nano- and microdisplacement. International Journal of Mathematical Analysis and Applications 3(4): 31-38.
- Afonin SM (2018) Structural-parametric model of electromagnetoelastic actuator for nanomechanics. Actuators 7(1): 1-9.
- Afonin SM (2019) Structural-parametric model and diagram of a multilayer electromagnetoelastic actuator for nanomechanics. Actuators 8(3): 1-14.
- Afonin SM (2016) Structural-parametric models and transfer functions of electromagnetoelastic actuators nano- and microdisplacement for mechatronic systems. International Journal of Theoretical and Applied Mathematics 2(2): 52-59.
- Afonin SM (2010) Design static and dynamic characteristics of a piezoelectric nanomicrotransducers. Mechanics of Solids 45(1): 123-132.
- Afonin SM (2018) Electromagnetoelastic Actuator for Nanomechanics. Global Journal of Research in Engineering: A Mechanical and Mechanics Engineering 18(2): 19-23.
- Afonin SM (2018) Multilayer electromagnetoelastic actuator for robotics systems of nanotechnology, Proceedings of the 2018 IEEE Conference EIConRus: 1698-1701.
- Afonin SM (2018) A block diagram of electromagnetoelastic actuator nanodisplacement for communications systems. Transactions on Networks and Communications 6(3): 1-9.
- Afonin SM (2019) Decision matrix equation and block diagram of multilayer electromagnetoelastic actuator micro and nanodisplacement for communications systems, Transactions on Networks and Communications 7(3): 11-21.
- Afonin SM (2020) Condition absolute stability control system of electromagnetoelastic actuator for communication equipment. Transactions on Networks and Communications 8(1): 8-15.
- Afonin SM (2020) A Block diagram of electromagnetoelastic actuator for control systems in nanoscience and nanotechnology, Transactions on Machine Learning and Artificial Intelligence 8(4): 23-33.
- Afonin SM (2020) Optimal control of a multilayer electroelastic engine with a longitudinal piezoeffect for nanomechatronics systems. Applied System Innovation 3(4): 1-7.
- Afonin SM (2021) Coded сontrol of a sectional electroelastic engine for nanomechatronics systems. Applied System Innovation 4(3): 1-11.
- Afonin SM (2020) Structural scheme actuator for nano research. COJ Reviews and Research 2(5): 1-3.
- Afonin SM (2018) Structural–parametric model electroelastic actuator nano- and microdisplacement of mechatronics systems for nanotechnology and ecology research. MOJ Ecology and Environmental Sciences 3(5): 306-309.
- Afonin SM (2018) Electromagnetoelastic actuator for large telescopes. Aeronautics and Aerospace Open Access Journal 2(5): 270-272.
- Afonin SM (2019) Condition absolute stability of control system with electro elastic actuator for nano bioengineering and microsurgery. Surgery & Case Studies Open Access Journal 3(3): 307–309.
- Afonin SM (2019) Piezo actuators for nanomedicine research. MOJ Applied Bionics and Biomechanics 3(2): 56-57.
- Afonin SM (2019) Frequency criterion absolute stability of electromagnetoelastic system for nano and micro displacement in biomechanics. MOJ Applied Bionics and Biomechanics 3(6): 137-140.
- Afonin SM (2020) Multilayer piezo engine for nanomedicine research. MOJ Applied Bionics and Biomechanics 4(2): 30-31.
- Afonin SM (2021) Structural scheme of electromagnetoelastic actuator for nano biomechanics. MOJ Applied Bionics and Biomechanics 5(2): 36-39.
- Afonin SM (2020) Multilayer engine for microsurgery and nano biomedicine. Surgery & Case Studies Open Access Journal 4(4): 423-425.
- Afonin SM (2019) A structural-parametric model of a multilayer electroelastic actuator for mechatronics and nanotechnology. 22: 169-186.
- Afonin SM (2020) Electroelastic digital-to-analog converter actuator nano and microdisplacement for nanotechnology. Nova Science 24: 205-218.
- Afonin SM (2021) Characteristics of an electroelastic actuator nano- and microdisplacement for nanotechnology. Nova Science 25: 251-266.
- Afonin SM (2022) An absolute stability of nanomechatronics system with electroelastic actuator. Chapter 9 in Advances in Nanotechnology. Nova Science 27: 183-198.
- Afonin SM (2021) Rigidity of a multilayer piezoelectric actuator for the nano and micro range. Russian Engineering Research 41(4): 285-288.
- Afonin SM (2023) Electroelastic actuator of nanomechatronics systems for nanoscience. 6: 15-27.
- Afonin SM (2023) Harmonious linearization of hysteresis characteristic of an electroelastic actuator for nanomechatronics systems. Physics and Mechanics of New Materials and Their Applications. 20: 419-428.
- Afonin SM (2022) Piezo engine for nano biomedical science. Open Access Journal of Biomedical Science 4(5): 2057-2059.
- Afonin SM (2022) An engine for nanochemistry. Journal of Chemistry & its Applications 1(1): 1-4.
- Afonin SM (2022) Nano drive for biomedical science and research. American Journal of Biomedical Science and Research 15(3): 260-263.
- Afonin SM (2022) An engine for nanomedicine and nanotechnology. Nanomedicine & Nanotechnology Open Access 7(2): 1-6.
- Nalwa HS (2004) Encyclopedia of Nanoscience and Nanotechnology. Los Angeles: American Scientific Publishers 10.
- Bhushan B (2004) Springer Handbook of Nanotechnology. Springer: 1222.




We use cookies to ensure you get the best experience on our website.