Mini Review
Creative Commons, CC-BY
Impact of Force Exercise on Cardiovascular Dynamics
*Corresponding author: Carlos Andrés Genes Vásquez, General Physician, Universidad del Sinu, Monteria.
Received: November 30, 2021; Published: December 09, 2021
DOI: 10.34297/AJBSR.2021.15.002069
Summary
Physical exercise is the combination of motor-type actions, where the muscles of the human being are part of the process, since they are in charge of processing chemical energy into mechanical energy, causing a force to be formed in order to generate movement; There are different types of exercises that are aerobic and anaerobic, of which there is evidence that indicates that resistance training can help reduce blood pressure if the correct instructions are followed. These exercises in combination with the additive effects of other healthy lifestyle habits (aerobic exercise, reduced sodium intake, weight loss), can help cause a more substantial reduction in resting blood pressure.
Keywords: Cardiovascular, Physical exercises, Circulation, Strength
Introduction
To carry out this article, a bibliographic search was carried out in various databases such as Elsevier, Scielo, Medline, pubmed, ScienceDirect and Ovid, thus selecting original articles, case reports and bibliographic reviews from 2012 to 2021 in Spanish and English using MeSH terms: exercise, cardiovascular dynamics, strength, and using the Boolean operators: and or. Including all the documents that Will deal with the impact of resistance exercises on cardiovascular dynamics and information related to it, the data found were between 9-11 records, thus using 6 articles for the realization of this document.
Results
It is well accepted that physical exercise is an activity that increases the production of Reactive Oxygen Species (ROS) through increased activities of Phospholipase A2 (PLA2), Nicotinamide Adenine Dinucleotide Phosphate (NADPH) oxidase and Xanthine Oxidase (XO). which, when combine, cause oxidative stress. During strength-based exercises, short-term maximal sprints, and exercise performed near the anaerobic threshold, the level of lipid peroxidation increases significantly immediately and up to 48h after exertion. The mitochondrial electron transport chain complex, the phenomenon of ischemia-reperfusion injury, and local inflammation have been identified as major sources of exerciseinduce free radical production and oxidative stress. These acute changes in biomarkers related to oxidative stress after exercise are also accompanied by an increase in antioxidant responses. In fact, immediate increases in Uric Acid (UA), Catalase (CAT), and Glutathione Peroxidase (GPX) content are recorded after intensive strength, speed, and Wingate efforts, with a return to baseline occurring from 10 min to 4-8h [4].
In a study of ten healthy, untrained men (19.5±1.7 years) who performed the random exercise series: anaerobic (30-s Wingate test), aerobic (30 Min at 60% of Aerobic Power (MAP) or combine (anaerobic and aerobic), presented the following results:
The levels of lipid peroxidation in the previous test and in P0, P5, P10 and P20 after aerobic, anaerobic and combine exercise (anaerobic and aerobic) are presented in Figure 1.
Figure 1: Plasma malondialdehyde concentration before (Rest), immediately after (P0) and 5 (P5), 10 (P10) and 20 (P20) min after aerobic,
anaerobic and combined (anaerobic and aerobic) exercise.
Note*: Data are expressed as the % change in resting concentrations before exercise. *, **: Significant difference compared to the pre-test
values at the level of p<0.05 and p <0.01 especially; a: significant difference compared to anaerobic exercise; b: significant difference compared
to combined exercise (anaerobic and aerobic).
The statistical analysis showed statistically significant main effects of the sampling time and the type of exercise with F (4.36) =24.84, P=0.000, η p 2=0.28 and F (2.18) =4, 62, p=0.03, η p 2=0.32, respectively. Plasma MDA increased immediately (P0) after aerobic and anaerobic testing sessions compared to baseline at rest with p=0.02. However, the (Malondialdehyde) (MDA) content did not increase above the baseline at rest in the combine condition (anaerobic and aerobic) up to 10 minutes after exercise (p=0.04).
Furthermore, MDA was higher in P5 after aerobic exercise compared to anaerobic exercise (p=0.05) and combine exercise (anaerobic and aerobic) (p=0.005) and higher in P10 and P20 after the same exercise compared to combined exercise (anaerobic and aerobic) with p=0.000.
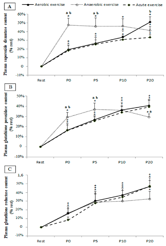
Figure 2 shows the enzymatic antioxidant responses after the different types of exercises. A significant main effect of the sampling time was recorded for SOD (F (4.36) = 19.38, p = 0.000, η p 2 =0.68), GPX (F (4.36) =25.40, p = 0.000, η p 2 =0.74) and GR (F (4.36) =16.04, p =0.000, η p 2 =0.64) (Figure 2).
Figure 2: Content of superoxide dismutase (panel A), plasma glutathione peroxidase (panel B) and glutathione reductase (panel C) before
(rest), immediately after (P0) and 5 (P5), 10 (P10) and 20 (P20) in after aerobic, anaerobic and combined exercise (anaerobic and aerobic).
Note*: Data are expressed as % change from resting concentrations before exercise. *, **, ***: Significant difference compared to pre-test
values at the level of <0.05, p<0.01 and p<0.001 respectively; a: significant difference compared to aerobic exercise; b: significant difference
compared to combined exercise (anaerobic and aerobic).
and GPX increased immediately (P0) after exercise (p 0.02, p 0.000 and p 0.03 for SOD and p 0.004, p 0.000 and p 0.004 for GPX in P0 post aerobic, anaerobic and combined exercise (anaerobic and aerobic), respectively).
However, an immediate increase (P0) of the GR content was only recorded after aerobic (p=0.048) and anaerobic (p=0.039) exercise, while this content did not increase above the baseline at rest in the combined condition (anaerobic and aerobic) up to 5 min post exercise (p=0.000).
Compared to aerobic and combined conditions (anaerobic and aerobic), anaerobic exercise resulted in higher levels of SOD and GPX at P0 (p = 0.000 for SOD and p = 0.02 for GPX) and P5 (p = 0.02 for SOD and p =0.05 for GPX). At P20, higher levels of SOD were recorded after aerobic exercise compared to the combined condition (anaerobic and aerobic) (p =0.03), and higher levels of GPX were recorded after the same exercise compared to the anaerobic condition (p=0.04). Plasma TAS and α-tocopherol following the different exercise protocols are shown in Figure 3. There was a statistically significant main effect for the time-samples for TAS (F (4,36) =3.2, p =0.025, η p 2 =0.26) and α-tocopherol (F (4.36) = 15.15, p = 0.000, η p 2=0.63) (Figure 3).
Figure 3: Antioxidant status in plasma (panel A) and α-tocopherol concentration (panel B) before (rest), immediately after (P0) and 5 (P5), 10
(P10) and 20 (P20) min after aerobic, anaerobic and combined exercise (anaerobic and aerobic).
Note*: Data are expressed as the% change in resting concentrations before exercise. *: Significant difference compared to pre-test values; a:
significant difference compared to aerobic exercise; b: significant difference compared to combined exercise (anaerobic and aerobic).
A significant increase in SAT values before and after exercise was only recorded after aerobic exercise at P10 after exercise with p=0.03. However, plasma α-tocopherol decreased immediately (P0) after aerobic (p=0.02) and anaerob (p=0.005) test sessions compared to baseline at rest, while this decrease was not recorded in the combined condition (anaerobic and aerobic) up to 5 min post-exercise (p=0.002).
Compared with aerobic and combined exercise (anaerobic and aerobic), a lower content of α-tocopherol was recorded in the anaerobic condition at P20 with p=0.04 and p=0.01, respectively [4]. In a study that I included, it included 92 grade I hypertensive young adults divide into two groups; 86 OPD patients from a tertiary care hospital between the 11-month periods (August 2017- June 2018) and were assigned in an anaerobic and aerobic group.
In the anaerobic group, six patients were men and 30 women with a mean Age of 30 ± 4.1 and in the aerobic group of 34 ± 3.2. The baseline characteristics of the patients are shown in Table 1 [5].
The results of the present study were in line with the result of Lee et al, who concluded that a longer exercise program reduces systolic and diastolic blood pressure to around 3.2mmHg and 2.5mmHg respectively. Jacobson et al found that 12 weeks of upper extremity exercises improved walking distance among patients with leg pain. Similar findings were also observed by Mc Dermot, et al. in 2009 and 2014 where supervised exercise regimens were found to improve the six-minute walk test among patients with and without claudication. The impact of aerobic and anaerobic exercises on MVO2 was manifested by the fact that exercises induce the secretion of nitric oxide and prostaglandins, the two most important biomarkers of the body from the intima of the arteries, causing a dilation of vasodilation after exercise, thus reducing the workload of the heart during rest [5].
Discussion
For physical exercise, the human body requires certain combinations at the muscular level, changes at the motor level and an interaction at the cardiorespiratory level to carry out these and meet the metabolic demands given by the muscles when performing exercises. anaerobic or also called strength exercises that occur actual, where changes in heart rate, cardiac output, systolic volume, blood pressure are involved, resulting in an increase in muscle contractility at the beginning of said activity, where it is well described that the heart must respond adequately to the volume increase demands required at the time of performing the action and that these changes or requirements will depend on the duration, the muscle group used and the intensity of each effort made. Studies support a great impact of anaerobic exercises on the biomarkers involved in the cardiovascular field, thus producing a decrease in cardiac output at rest [5,6].
Conclusion
Anaerobic exercises produce multiple positive effects on the body, due to the strengthening of the muscles and the release of substances such as free radicals that generate oxidative stress but are later accompanied by an increase in antioxidant responses with immediate increases in uric acid content. , catalase and glutathione peroxidase, in addition to inducing the secretion of nitric oxide and prostaglandins, causing vasodilation after exercise which reduces the workload of the heart during rest and therefore reduces systolic and diastolic blood pressure, mainly at rest, so we can observe the positive impact that strength exercises have at the cardiovascular level as long as they are carried out in an appropriate way and accompanying it with healthy lifestyle habits.
Conflict of Interests
No conflict of interest.
Acknowledgement
None.
References
- Thomas Losnegard, Havard Myklebust, Jostein Hallen (2012) Anaerobic capacity as a determinant of performance in sprint skiing. Med Sci Sports Exerc 44(4): 673-681.
- Amelia Brunani, Lanzi S, Codecasa F, Cornacchia M, sabria Maestrini, et al. (2017) Vascular Dynamics and Peripheral Oxygen Uptake in Obese Individuals during Progressive Physical Exercise. Respiration 94(6): 493-500.
- Buong O Chun, Sang Hyup Choi, Jong Baek Lee, Eonho Kim, kihyuk Lee (2021) Effects of core Balance and Plyometric Training on Anaerobic Power and Dynamic Postural Stability in Youth Taekwondo Athletes. KCI30(2): 167-174.
- Ammar A, Trabelsi K, Boukhris O, Glenn J, Bott N, et al. (2020) Effects of aerobic anaerobic and combined exercises on biomarkers of Plasma oxidative stress in healthy untrained young adults. Int J Environ Res public Health 17(7): 2601.
- Farhad A, Farooqui S, Hassan B (2021) Effects of Anaerobic Exercises on Cardiac Workload Peripheral Resistance and Lipid Index in Grade-I Hypertensive Young Adults. The Internet Journal of Allied Health Sciences and Practice 19(4).
- Sheehan T, McConnell T, Andreacci J (2018) Impact of Strength Exercise on Cardiovascular Dynamics. Rev. PubliCE 21(1): 122-132.


We use cookies to ensure you get the best experience on our website.