Opinion
Creative Commons, CC-BY
About the Possible Acoustic Functions of the Eyes
*Corresponding author: Zurab V Wardosanidze, Institute of Cybernetics of the Georgian Technical University, Georgia.
Received: December 03, 2021; Published: December 14, 2021
DOI: 10.34297/AJBSR.2021.15.002073
Abstract
The eye is considered as a vibrating combined shell, consisting of two or more chambers of different curvature, filled from the inside with an elastic substance. In addition to the functions of optical vision, the properties of the eye as the mechanical resonant vibrator, which can emit and receive acoustic signals, are discussed.
Introduction
The structure and configuration of the eyeball of human, mammals, birds, reptiles, and fish are almost the same. They are a little different only with geometrical forms. In particular, they all represent polymer shells (sclera + cornea), and their parts represent oneself fragments surfaces of revolution (Figure 1). The insect eye is structurally more complex, but the considerations given below can be generalized and calculated for them as well (Figure 2).
To simplify the discussion of general issues based on the considerations presented below consider a biomechanical model of the membrane of only the human eyeball. The shell of the human eyeball combines two fragments of approximately spherical membranes - the anterior chamber, consisting of the cornea, and the posterior chamber, which consists of the sclera (Figure 1).
The cornea is about 1/6 of the total shell of the human eyeball and is heterogeneous in thickness from the center to the edges from 0.52-0.6mm, up to 1-1.2mm. The radius of its curvature is about 7.8mm. A sclera outer dense shell of the eye is 5/6 of the fibrous membrane of the eyeball. Its average thickness is from 0.3 to 1mm.The radius of curvature of the sclera of the human eyeball is approximately 12mm.
Analysis
The human eyeball is a polymeric shell filled with an elastic substance, consisting of two chambers, limited by fragments of membranes of different curvature - the sclera and the cornea. Naturally, such a structure is a biomechanical resonance system for certain frequencies of mechanical vibrations, which depend on the average elasticity of the intraocular contents and the polymer membrane of the human eyeball. The biomechanical resonance model of the human eyeball is widely used in non-contact tonometry to determine and diagnose intraocular pressure (IOP) [1-5]. In the mentioned case, the resonant oscillations of the eyeball are excited only from the outside by a pulsed air flow, and the corresponding response from the surface of the eye is examined. However, the excitation of the resonant oscillations of the eyeball is possible both due to external excitations (pulses of air, sound, light, etc.), and due to internal impulses from the eye muscles and optic nerve at the emotional perturbations. Despite the heterogeneity of the intraocular contents (vitreous body, lens, aqueous humor, retina, choroid, etc.) and external restrictions on the part of the eye muscles and eyelids, the outer polymer membrane of the eyeball (sclera + cornea) must be able to vibrate with a strictly certain resonant frequency.
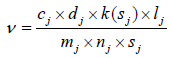
Accordingly, since any mechanical oscillatory system is at the same time both an emitter and a receiver of acoustic waves, the eye may be additionally considered as a generator and as an acoustic pulses sensor. In ophthalmology, only a nystagram is considered as a natural oscillation of the eye, which has little in common with real physic-mechanical resonance vibrations of the shell of the eyeball excited by internal impulses [6-9]. The biomechanical properties of the eye have been studied by many authors based on a twocomponent model of the eyeball for the study of accommodation and other optical-physiological problems [10,11]. The elasticity characteristics of the eyeball and the strength indices of its different fragments also studied [12-15]. Despite the heterogeneity of these parameters of the eyeball, from the point of view of physics, the possibility of the occurrence of standing mechanical waves, both along the entire shell and inside the eyeball, is completely obvious. The resonance frequencies of these oscillations on the surface of the eyeball in a rough approximation can be estimated by the formula:

Where c j is the average speed of mechanical waves along and inside of the plots of eyeball surface, is the average diameter of the eyeball, is the geometric plot size of the shell part; is the function of the elasticity for every plot of the eyeball; m j and n j are quantities of mechanical half waves along and inside of the eyeball; l=1,2,3,…,N; and j=1,2,3,…k the quantity and site number of the corresponding fragment of the eyeball. Despite the difference in the length of mechanical waves in different parts of the shell of the eyeball, according to the universal law of wave propagation in an inhomogeneous medium, their frequency is the same.
The reasons for the excitation of mechanical vibrations of the eyeball can be both external influences (light, acoustic, electric, etc.), and internal excitations, caused by the muscles of the eye or nerve impulses associated with internal emotional states. Naturally, these two factors are interconnected when external influences are manifested in the internal responses of the body and in emotions. In any case, the impulses of mechanical vibration of the eye must be transmitted to the environment, and the eyeball must also respond to external stimuli with mechanical vibrations. Accordingly, these acoustic impulses can be a means of communication between living objects (people, animals, etc.) located, from each other, in the zone of effective impact of acoustic pulses on the eyes. Therefore, in addition to usual visual and sound contact between people (and in general between living objects), there must be exist contact due to the acoustic activity of the eyes (Figure 3).
Figure 3: Example of mutual communication with the help of acoustic signals generated and received by the eyes.
Thus, the eye can simultaneously act both as a radiator and a sensor (receiver) of acoustic signals, and, according to the author, this or that expression of the eyes should relate to the biomechanical vibrations of the eyeball. There are some expressions related to human eyes: “talk by eyes”, “evil eye”, “eyes are the mirror of the soul”, etc., which are associated with internal emotional states.
So, according to the author, the perception of such eye expressions is due to the corresponding acoustic signals generated by the eyes. Moreover, as you know, the open eye of a sleeping, blind or deceased person is devoid of expressiveness, which should be a consequence of the absence of signals of internal excitement of mechanical vibrations of eyes. The lack of expressiveness of the eye in these cases can be caused only by the inertness of the eye muscles and the weakening of signals coming from the brain through the optic nerve to the eye. Linking these facts only with the observer’s visual susceptibility is completely illogical. To one degree or another, approximately the same can be said about the eyes of mammals, birds, reptiles, and fish, considering the capacities of their psychological and emotional spheres.
For insects, this approach is more complicated due to the complexity of the structure of their eyes. However, in this case too, we will deal with resonant mechanical vibrations of the eye generating acoustic fields in the external environment and with the perception of acoustic signals of corresponding frequencies. Unfortunately, vibrations not only of the eyes, but also of complex (for example, two-chamber) elastic, filled and partially bounded shells have not been sufficiently studied even in physics [16-19]. Therefore, author cannot discuss the frequency range of these vibrations, but it can be said that they can be both in the ultrasonic region and in the infrasound region because of beatings between vibrations given by the different chambers of the eyes. In the future, author expects to conduct some theoretical and experimental studies of the human eye in this direction, for the confirmation the considerations stated above.
Conclusions
Proposed approach to the acoustic functions of the eye allows us to expand the scope of the study of the communication potential of living beings. On the other hand, this approach can stimulate new methods of diagnosis and treatment, as well as the creation of new instrumental methods to solve the problems of ophthalmology.
References
- MK Ohlbaum (1976) Mechanical resonant frequency of the human eye in vivo, Ph.D. dissertation, Air Force Aerospace Medical Research Lab, Wright-Patterson AFB, OH.
- Coquart, C. Depeursinge, A. Gurnier, R Ohayon (1992) A fluid-structure interaction problem in biomechanics: Prestressed vibrations of the eye by the finite element method. J Biomech 25(10): 1105-1118.
- P Zhang, TL Geers (1993) Excitation of a fluid-filled, submerged spherical shell by a transient acoustic wave. J Acoustic Soc Am 93: 696-705.
- Arnd Gundlach, Rainer Rawer, Stefan Hey, Wilhelm Stork, Klaus-Dieter Mueller (2002) Glaser, Design, and realization of a handheld vibrometer system for noncontact in-vivo detection of microvibrations of the human eye to determine the intraocular pressure (IOP), International Symposium on Biomedical Optics, Proceedings Volume 4611, Ophthalmic TechnologiesXII, San Jose, CA, United States.
- Shih PJ, Guo YR (2016) Resonance frequency of fluid-filled and prestressed spherical shell - A model of the human eyeball. The Journal of the Acoustical Society of America 139(4): 1784.
- JR Zahn (1978) Incidence and characteristics of voluntary nystagmus. J Neurol Neurosurg Psychiatry 41 (7): 617-623.
- Eggert T (2007) Eye movement recordings: methods. Developments in Ophthalmology 40: 15-34.
- Serra A, Leigh R (2002) Diagnostic value of nystagmus: spontaneous and induced ocular oscillations. Journal of Neurology, Neurosurgery, and Psychiatry 73 (6): 615-618.
- A Fisher, M Gresty, B Chambers, Peter R (1983) Primary Position Upbeating Nystagramus: A Variety of Central Positional Nystagmus. Brain 106(4): 949-964.
- GA Lyubimov, IN Moiseeva, AA Stein (2014) Investigation of the properties of the two-component eyeball model and opportunities to use it for practically estimating the mechanical characteristics of the human eye. Fluid Dynamics 49(6): 705-714.
- IN Moiseeva, AA Stein (2017) The Effect of Spatial Inhomogeneity of the Cornea on the Deformation Properties of the Eyeball and the Results of Maklakoff Applanation Tonometry. Biophysics 62(6): 984-993.
- Shin TJ, Vito RP, Johnson LW, McCarey BE (1997) The distribution of strain in the human cornea. J Biomech 30: 397-593.
- Enderle JD, Blanchard SM, Bronzino JD (2005) Introduction to Biomedical engineering. Second Edition Elsevier Academic Press 738-754.
- F. A. Guarnieri (2015) Corneal biomehcnics and refractive surgery. Berlin: Springer 146.
- Bauer SM, Venetovskaya LA (2018) Analysis of stress-strain state of a human eye by the method of elastotonometry after the surgical correction of hyperopia. Conf Proc 959: 1-5
- H Lamb (1882) On the vibrations of a spherical shell. Proc London Math Socs 14(1): 50-56.
- R Rand, F DiMaggio (1967) Vibrations of fluid-filled spherical and spheroidal shells. J Acoustic Soc Am 42(6): 1278-1286.
- AE Engin, YK Liu (1970) Axisymmetric response of a fluid-filled spherical shell in free vibrations. J Biomech 3:11-22.
- N Akkas (1975) Dynamic analysis of a fluid-filled spherical sandwich shell-A model of the human head. J Biomech 8(5): 275-284.



We use cookies to ensure you get the best experience on our website.