Mini Review
Creative Commons, CC-BY
Novel Edible Mushroom BDM-X as an Immune Modulator: Possible Role in Dietary Self-Protection Against COVID-19 Pandemic
*Corresponding author: Tetsuya Konishi, Faculty of Applied Life Sciences, Niigata University of Pharmacy and Applied Life Sciences, Office HALD Food Function Research, Inc, Japan.
Received: May 03, 2021; Published: May 20, 2021
DOI: 10.34297/AJBSR.2021.12.001819
Abstract
Since December 2019, the novel corona virus disease (COVID-19) impacts serious health crisis globally. Obviously, the development of vaccines and treating medicine are urgently desired as social needs, but at the same time, it is important to generalize the daily routine at individual level to keep the physiological condition healthy enough against invading pathogens. The dietary manipulation of immune status will be the most reliable and easy strategy for the purpose even in the pandemic circumstance of COVID-19. In this sense, the edible mushrooms with immune modulating function are the cuisine material to be considered. Basidiomycetes-X (BDM-X), a novel edible mushroom found in Niigata, Japan, will be one of attractive mushrooms because of the high contents of β-glucan, and also the high antioxidant and anti-inflammatory potential. Besides the β-glucan, several active components were identified such as pyrrol aldehyde analogues having immune cells modulating potential such as NK cell activation. Possible role of Basidiomycetes-X mushroom is being discussed in the self-medication against present corona virus pandemic.
Introduction
The outbreak of COVID-19 that was first reported from Wuhan, China, on 31 December 2019, becomes Public Health Emergency of International Concern. SARS-CoV-2 (Severe acute respiratory syndrome corona virus 2), the causative virus of COVID-19, is highly transmittable and ap-proximately 1-4% of infected patients, especially, aged persons progressed to severe respiratory dysfunction leading to death. Immune cell dysregulation and resulted inflammation are characterized in the serious COVID-19 syndromes. For example, lymphocyte subsets such as CD8+T, CD4+T, B cell, and NK cell were reduced in the sever patients, and cytokines such as IL-6 and IL-10 levels were significantly higher compared to the mild patients [1]. The inflammatory or cytokine storm with excessive release of these pro-inflammatory cytokines, including interleukin (IL)-1β and IL-6 are playing crucial role in the sever lung damage [2]. It is also noted systemic inflammation accompanies diverse organ failures in COVID-19, for examples, 14-53% of patients with COVID-19 are reported to develop some form of hepatic dysfunction with higher level of hepatic enzymes- ALT, AST, GGT [3]. Neurological disorders such as headache, meningoencephalitis, and acute ischemic stroke, are also frequently associated with COVID-19, as shown by the cohort study conducted after the onset of COVID-19 in China, USA, UK, and Europe, that reported acute and late neurological complications among the infected people [4]. This is because angiotensin converting enzyme 2 (ACE2) receptor playing as the gate for the cellular entry of SARSCoV- 2 is widely distributed on the cellular surface of many organs and tissues other than respiratory tract [5]. Therefore, it is said that COVID-19 is, in part, the systemic inflammation diseases to show multiple organ failure.
Currently the biological properties of SARS-CoV-12 are getting gradually uncovered and also therapeutic strategies have been progressed. However, no feasible medicines and treating methods are so far established. Also, several types of vaccines are now available and vaccination is started globally after a brief check of their efficacy and safety [6], however, the highly mutating feature of this virus is concerned to alter the efficacy of immune adaptation strategy by vaccines, as Tung reported genetic diversity of SARSCoV- 2 by analyzing 86 genomes and revealed many mutations and deletions on coding and non-coding regions [7]. Therefore, the self prevention or protection is primarily important in the daily life against COVID-19 as well as future life threatening infectious attack.
Dietary Manipulation of Immune System
Immune is of primary importance in keeping physiological homeostasis of living organisms, which is the system to keep the identity of specific living species, and is also playing pivotal roles in protecting against cancer and pathogenic infections such as by virus and bacteria [8]. In this sense, the maintenance of immune systems, both inert and acquired immunes, are the primary strategy for preventing viral infection, and also proliferation or mitigation of relevant complications after infection established. It is well known that the immune potential is affected by many factors facing during our daily life such as stress, diet, sleep, exercise, and environmental condition such as atmosphere. Among them, the diet is essentially the most important for maintaining or even boosting the immune system. Needless to say, the diets are the source of nutrients and the major nutrients such as protein and lipids are essentially required to maintain the structures of organisms including immune system, that is, immune cells and organs. In addition to these basic functions, some nutrient molecules show alternate functions. Omega-3, for an example, are a family of polyunsaturated fatty acids (PUFA) distributing widely in cellular membranes but the pharmacological functions as a food factor are also attracting much attention, such as the immune modulation activities and the risk reduction of several disorders like thrombosis, cardiovascular failures and dementia [9]. Anti-inflammatory activity is another characteristic of Omega-3 because these disorders are characterized by inflammation and thus possible protection against COVID-19 is recently discussed in the comprehensive review by Hathaway and colleagues [10].
Besides the major nutrients, pivotal roles of micronutrients in modulating immune responses are also recognized [11]. For example, vitamin D is plying crucial role in preventing infection and also development of sever conditions, and the differential plasma level of Vitamin D is implicated as the factor producing racial difference of severity of COVID-19 [12].
Food factors or natural products are another important ingredients having immune modulating potential. For example, the polyphenols from mulberry root effectively inhibited IL-6 production in TNF-a stimulated MG-63 cell [13]. Behl et al. reviewed the phytochemicals as food factor, having potentially useful immune modulating activity [14]. Among them, the polyphenols such as phenolic acids, flavonoids and tannins are the major group of showing activity and they are frequently found in vegetable and fruits. These polyphenols are in general having high potential of antioxidant and anti-inflammatory activities and thus they are suggested to mitigate over-reacted immune responses which damage tissues through oxidative stress and inflammation [15]. Thrombosis is another target of food factor that associates with vascular epithelium damages resulted from COVID-19 virus infection leads to respiratory dysfunction in lung as well as stroke and cardiac dysfunction [16]. Since many food factors, for example, sulfur containing garlic ingredients as typical are known as potential inhibitor of platelet activation [17], dietary approach to boost immune and damp the risk of aggravation of COVID-19 will be reasonable and necessary challenge.
Mushrooms as Typical Defender Food
In terms of bioactive food resources, edible mushrooms will be the promised target for the study as is discussed the possible use of medicinal herbs and mushrooms for protecting against SARAS-CoV-2 infection in the review by Shahazad et al. [18]. The immune modulating function of mushrooms has been well discussed, especially in cancer therapy [19] and their medicinal role was well accepted as biological response modifier (BRM). Indeed, mushrooms are a good source of many important nutrients which contribute to immune modulation such as Vitamins D, B, A, C, folic acid, and minerals such as magnesium, zinc, Fe, and Se. Moreover, the anti-inflammatory and immunomodulating functions of isolated fungal metabolites are also discussed [20]. Therefore the potential of using mushrooms attracts much attention as immune modulating daily food against COVID-19. Quite recently, Hetland et al. explored the feasibility of Basidiomycetes mushrooms such as Agaricus blazei Murill, Ganoderma lucidum, Hericium erinaceus and Grifola frondosa as immune response modifiers [21]. The authors discussed the antiviral and anti-inflammatory effects of those mushrooms and suggested as suitable prophylactic or therapeutic resources treating COVID-19 infection and associated respiratory complications. Suwannarach et al. pointed out several fungal bioactive compounds including indole alkaloids, polyketides, terpenoids, lignin derivatives and polysaccharides showed no only human immune-modulating activity, but also inhibitory activity against specific viral protease which is the enzymes required for the replication, transcription, and maturation of corona viruses [22]. It is thus expected that mushrooms are able to play as nutraceutical which provides beneficial use for preventing infectious viral diseases including COVID-19, through the functions of nourishment, immune modulation and also inhibition of viral multiplication in the cell.
Basidiomycetes-X as Novel Mushroom Resource
Search of new bioactive mushroom is another interesting issue. As the immune modulating ingredient of mushrooms, β-glucan attracted attention and a book of studies are accumulated [23]. Basidiomycetes-X (BDM-X) is one of the newly found mushrooms having high contents of β-glucan and variety of biological and pharmacological activities [24]. BDM-X was identified as a new species of Basidiomycota family mushroom in 1999 in Niigata, Japan, but is uniquely lack of basidium forming ability. It is now cultivated and the mycelium mass is provided in a market as food and also as functional resource applicable for functional foods and medicines with local name “Echigoshirayukidake” (Figure 1).
It is a low fat (1.9%), low caloric (179.0 kcal/100g) cuisine material, and is rich in dietary fiber (32.7%), especially, β-glucan (13.5%) [24]. Watanabe et al. reported BDM-X has high antioxidant activity both in vitro and vivo, and especially, hydroxyl radical scavenging potential of BDM-X is characteristically high whereas other reference mushroom such as Agaricus blazei showed higher superoxide radical scavenging activity than hydroxyl radical [25]. Anti-inflammatory functions were observed both in rodent model [26] and in human [27], where the therapeutic potential of atopic dermatitis was shown. Recently, three pyrrole alkaloid derivatives were isolated as major ingredient of BDM-X [28]. Several studies on physiological and pharmacological functions including antioxidant, anti-allergic, anti-inflammatory, anti-obesity, and hepatoprotective functions have been documented previously in the review article by Konishi et al. [24]. The presence of rich β-glucan and unique pyrrol alkaloids as biofactor strongly suggest BDM-X will have high potentiality in using as immune boosting food as well as other known mushrooms showing basic immune response modulator and also antiviral functions.
Beta-Glucan as Immune Modulator
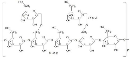
β-glucans are well established biologically active polysaccharide, that are widely distributed in the edible mushrooms. β-glucans consist of linear β-1,3-linked backbones with β-1,6-linked branched chains (Figure 2) of varying length and show wide structural diversity among respective mushroom. Although precise chemical composition and structural analysis are not yet under-took, the β-glucan contents in BDM-X is high as 13.5% (dry weight) [24]. Numerous studies documented the strong immunostimulating potential of β-glucan in cancer immune as well as other various diseases, and the functions of mushrooms have been described as the Biological Response Modifiers (BRM) to help homeostasis of the body, but now these functions are rationalized by the immune modulating function of polysaccharides and other active ingredients [29]. Therefore, medicinal mushrooms are currently attracting much attention as a dietary therapeutics targeting ongoing pandemic of COVID-19 in that the enhancing function of innate immune is focused to combat viral infection and complications. For example, Rao et al. suggested immune-nutritional therapy for COVID-19 patients using AFO-202 beta 1,3-1,6 glucan that enhances immune cell activities and the related defense factors such as IL-8, sFAS macrophage activity, and NK cells’ cytotoxicity against viral infection [30]. Ikewaki et al. provided a commentary on the anti-glycation effects of a glucan product (AFO-202 beta 1,3- 1,6 glucan) as biological response modifier for COVID-19 patients, which possibly enhances and regulates the immune parameters [31]. They proposed an enteric (β-WIFE) vaccine adjuvant approach with oral consumption of AFO-202 β-glucan as wide-spectral immune-balancing food supplement, until a conven-tional vaccine is widely available [32].
Co-morbidities such as diabetes are reported to cause increased mortality in COVID-19. The clinical study on 461 hospitalized COVID-19 patients in China indicated that elevated fasting plasma glucose (≥6.23 mmol/L) was strongly correlated with poor outcome of COVID-19 treatment [33]. The prophylactic potential of BDM-X is predictable since the blood glucose lowering activity of BDM-X was reported by Khatun et al, in that β-glucan was suggested to have major role in the hypoglycemic faction as was suggested in other mushrooms [34]. Current investigations on the β-glucan extracted from different edible mushrooms suggest the effectiveness of β-glucans in the immunotherapy against corona virus diseases including COVID-19. For example, possible roles of β-Glucan derived from shiitake mushroom (Lentinus edodes, termed ‘lentinan’) in the immunomodulatory and pulmonary cytoprotective functions were shown isomer in vitro models of lung injury and macrophage phagocytosis, where the β-glucan stimulated cytokine (IL-1ß) expression to protect pulmonary damage, and thus this is directly relevance to prevent COVID-19 in that cytokine storm is implicated in the lung damage [35]. It is also demonstrated that Lentinan attenuated pro-inflammatory cytokine production (TNF-α, IL-8, IL- 2, IL-6, IL-22) and reduced cytokine-mediated NF-κB activation in human alveolar epithelial cells model. These observations suggest that β-glucan rich BDM-X may also have a potential for using as an adjuvant in COVID-19 therapeutics to reduce the risk of cytokine storm, cooperatively with its potential antioxidant and antiinflammatory protections.
In contrast to the accumulated knowledge on polysaccharides
including β-glucan as the major active ingredients of mushrooms,
the study on the low molecular ingredient with immune modulating
function is a few, as an example of ganoderic acid, a triterpenoid
isolated from Ganoderma lucidum [22]. Currently identified Pyrrol
aldehyde ingredients (pyrrole alkaloids) of BDM-X (Figure 2) are
therefore unique [28]. Pyrrole alkaloids in general are reported
widely in natural resources and display a wide range of biological
activities like macrophage activating, hepatoprotective, and
neuroprotective potentials [36]. The pyrrole alkaloids identified
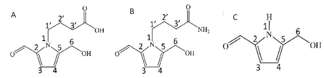
as the major ingredients of BDM-X are shown in Figure 3. It was
found that compound B is specific for BDM-X but compound A and
C have been found in other sources such as in the fruits of Morus
alba, and also in ethnopharmacologic mushroom that is used as a
tonic to enhance immune responses in Korea [37]. Many medicinal
functions were observed for these isolated pyrrole alkaloids such
as macrophage activating potential as well as the enhancement of
nitric oxide, tumor necrosis factor alpha (TNF-α) and interleukin 12
(IL-12) production. Compound A also stimulated phagocytic activity
in RAW264.7 macrophage cells. The similar pyrrole alkaloids
were isolated by Sun et al [38]. from the fruiting bodies of widely
distributed Chinese edible mushroom Phlebopus portentosus, which
showed neuroprotective properties against hydrogen peroxide
(H2O
Figure 2: Basic structure of β-D-glucan showing bonds (1→3) of linear backbone and (1→6) of branched chain.
Figure 3: Structures of the pyrrole alkaloid derivatives from Basidiomycetes-X.
(A) 4-[2-formyl-5-(hydroxymethyl)-1H-pyrrol-1-yl] butanoic acid.
(B) 4-[2-formyl-5-(hydroxymethyl)-1H-pyrrol-1-yl] butanamide.
(C) 5-(hydroxymethyl)-1H-pyrrole-2-carboxaldehyde.
Dietary approach to maintain immune functions is promising and reliable daily routine in the current society to live with COVID-19. Immune boosting function of mushrooms has been well recognized since mushroom is an ideal resource containing variety of rich immune associated ingredients such as dietary fibers, micronutrients and specific food factors, and thus is an indispensable dietary supplement for the prevailing COVID health emergency. BDM-X is the novel mushroom isolated and cultivated in Niigata, Japan has high content of β-D-glucan and specific pyrrol alkaloids as the major ingredient, both of which are reported as potential immune modulators. The high antioxidant and antiinflammatory potential are also characteristic property of BDM-X and thus will contribute to balancing the immune modulation and inflammation induced organ damages so as to reduce the risk of disease progression into fatal condition. Although further studies are required, all the reference researches described in this short review indicate possible preventive or ameliorative function of BDM-X against SARS-Cov-2 infection and the related physiological complications.
Acknowledgement
The research results on Shirayukidake in this review were carried out by the colleagues of Japanese Society of Shirayukidake Researches.
References
- Cameron MC, Lee E, Hibler BP, Barker CA, Mori S, et al. (2019) Basal cell carcinoma: Epidemiology; pathophysiology; clinical and histological subtypes and disease associations. J Am Acad Dermatol 80(2): 303-317.
- Nicoletti G, Brenta F, Malovini A, Musumarra G, Scevola S, et al. (2013) Study to determine whether intraoperative frozen section biopsy improves surgical treatment of non-melanoma skin cancer. Mol Clin Oncol 1(2): 390-394.
- Janowczyk A, Madabhushi A (2016) Deep learning for digital pathology image analysis: a comprehensive tutorial with selected use cases. J Pathol Inform 7(1): 29.
- Djuric U, Zadeh G, Aldape K, Diamandis P (2017) Precision histology: how deep learning is poised to revitalize histomorphology for personalized cancer care. NPJ Precis Oncol 1(1): 22
- Olsen TG, Jackson BH, Feeser TA, Kent MN, Moad JC, et al. (2018) Diagnostic performance of deep learning algorithms applied to three common diagnoses in dermatopathology. J Pathol Inform 9: 32.
- Liu Y, Kohlberger T, Norouzi M, Dahl GE, Smith JL, et al. (2019) Artificial Intelligence Based Breast Cancer Nodal Metastasis Detection. Archives of Pathology & Laboratory Medicine 143(7): 859-868.
- Steiner DF, MacDonald R, Liu Y, Truszkowski P, Hipp JD, et al. (2018) Impact of Deep Learning Assistance on the Histopathologic Review of Lymph Nodes for Metastatic Breast Cancer. Am J Surg Pathol 42(12): 1636-1646.
- Sanyal P, Mukherjee T, Barui S, Das A, Gangopadhyay P (2018) Artificial intelligence in cytopathology: A neural network to identify papillary carcinoma on thyroid fine-Needle Aspiration Cytology Smears. J Pathol Inform 9:43.
- Xu L, Walker B, Liang PI, Tong Y, Xu C, et al. (2020) Colorectal cancer detection based on deep learning. J Pathol Inform 11: 28
- Parwani AV (2019) Commentary: Automated diagnosis and gleason grading of prostate cancer are artificial intelligence systems ready for prime time? J Pathol Inform 10: 41.
- Nir G, Hor S, Karimi D, Fazli L, Skinnider BF, et al. (2018) Automatic grading of prostate cancer in digitized histopathology images: Learning from multiple experts. Med Image Anal 50: 167-80
- Liang-Chieh Chen, George Papandreou, Iasonas Kokkinos, Kevin Murphy, Alan L Yuille (2017) Deeplab: Semantic image segmentation with deep convolutional nets, atrous convolution, and fully connected CRFS. TPAMI.
- Chollet, F Xception (2017) Deep learning with depthwise separable convolutions. In: CVPR.


We use cookies to ensure you get the best experience on our website.